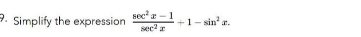
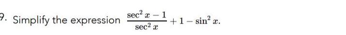
Question: 7 Simplify the expression 9 sec x sec x 1 1 sin x sec2 a,' 1 Simplify the expression + 1 sin2 sec2 x


7 Simplify the expression 9 sec x sec x 1 1 sin x
sec2 a,' 1 Simplify the expression + 1 sin2 sec2 x
Step by Step Solution
There are 3 Steps involved in it
Get step-by-step solutions from verified subject matter experts
