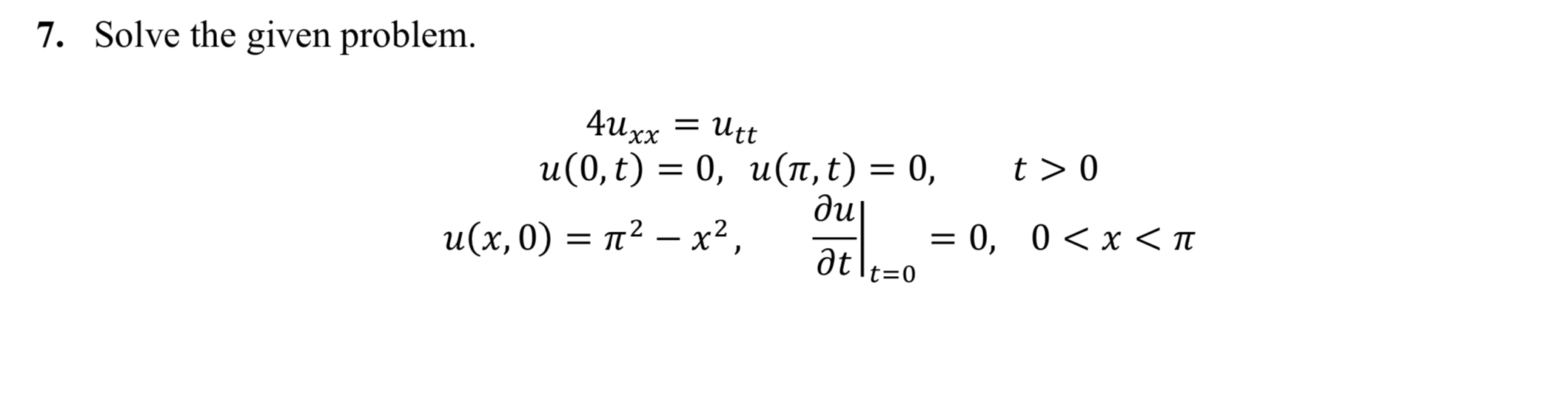
Question: 7. Solve the given problem. 4uxx = Utt u(0, t) = 0, u(It, t) = 0, t > 0 u(x, 0) = 12 - x2,

Step by Step Solution
There are 3 Steps involved in it
Get step-by-step solutions from verified subject matter experts
