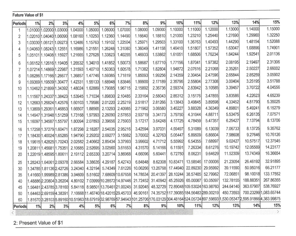
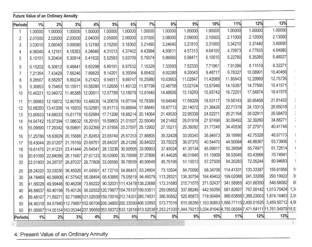
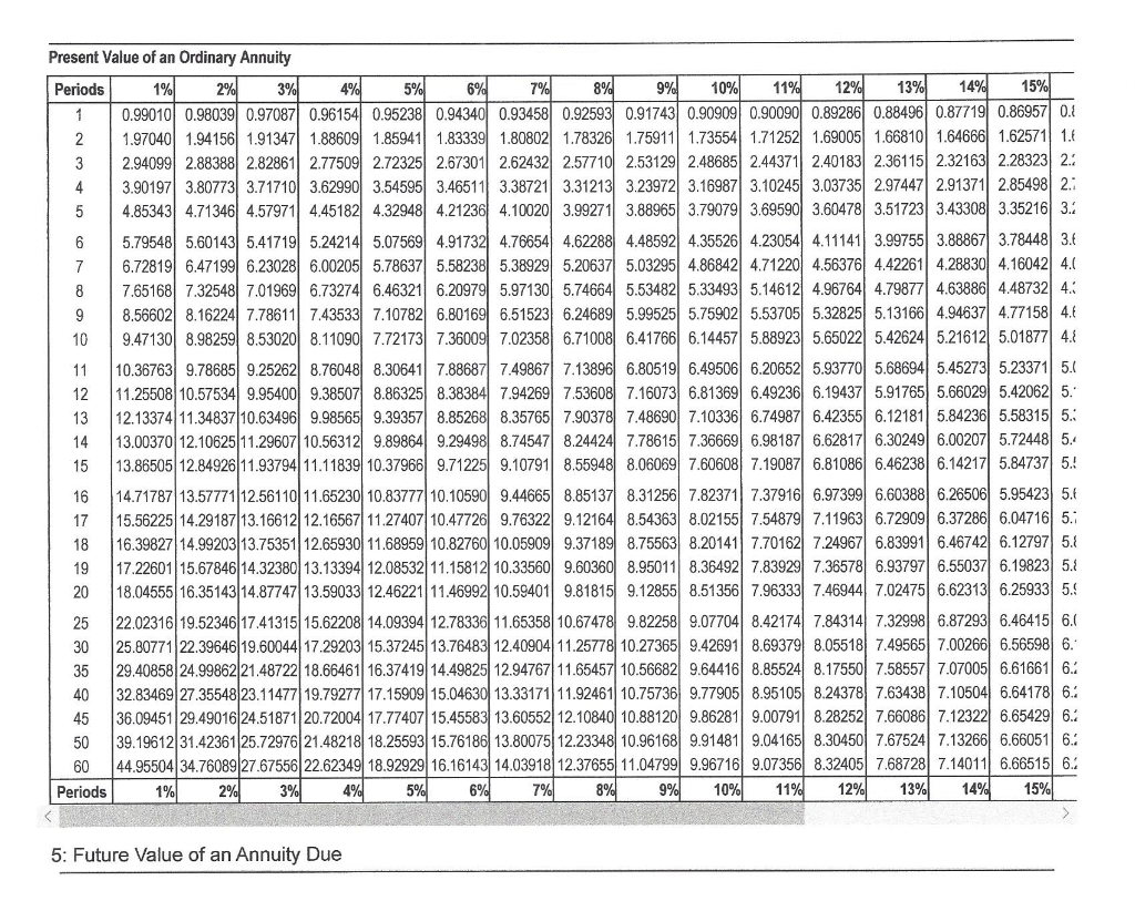
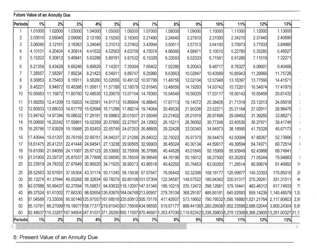
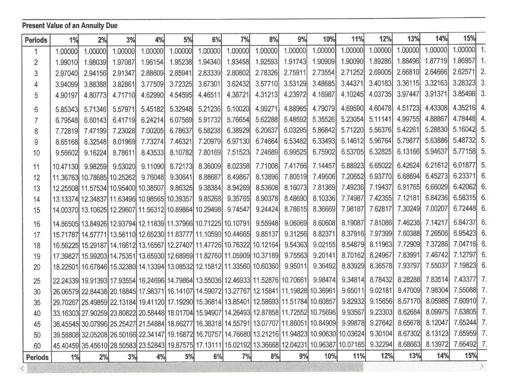
Question: 7. Sorter Enterprises, a major real estate developer, recently accepted a $16,000,000, five-year, 4% note receivable in exchange for products sold. Interest is paid annually.







7. Sorter Enterprises, a major real estate developer, recently accepted a $16,000,000, five-year, 4% note receivable in exchange for products sold. Interest is paid annually. The current market rate of interest is 7%. The note is not publicly traded. 3 (Click the icon to view the Future Value of $1 2 table.) (Click the icon to view the Future Value of an 4 Ordinary Annuity table.) (Click the icon to view the Future Value of an 6 Annuity Due table.) (Click the icon to view the Present Value of $1 table.) (Click the icon to view the Present Value of an Ordinary Annuity table.) (Click the icon to view the Present Value of an Annuity Due table.) 5 " value Prepare the journal entry to record the sale. Ignore cost of goods sold. (Record debits first, then credits. Exclude explanations from any journal entries. Use the present value and future value tables, the formula method, a financial calculator, or a spreadsheet for your calculations. If using present and future value tables or the formula method, use factor amounts rounded to five decimal places, X.XXXXX. Round your final answers to the nearest whole dollar) Current Year Account (1) Notes Receivable (2) Discount on Notes Receivable (3) Sales 1: Future Value of $1 Future Value of $1 Periods 1% 2% 3% 4% 5% 6% 7% 8% 9% 10% 11% 12% 13% 14% 15% 1 1.01000 1.020001.03000 1.04000 1.05000 1.06000 1.07000 1.08000 1.09000 1.10000 1.11000 1.12000 1.13000 1.14000 1.15000 2 1.020101.040401.06090 1.08160 1.10250 1.12360 1.14490 1.16640 1.18810 1.21000 1.23210 1.25440 1.27690 1.299601 32250 1.030301.061211.09273 1.12486 1.15763 1.19102 1.22504 1.25971 1.29503 1.33100 1.36763 1.40493 1.44290 1.48154 1.52088 4 1.040601.08243 1.12551 1.16986 1.21551 1.26248 1.31080 1.36049 1.41158 1.46410 1.51807 1.57352 1.63047 1.68896 1.74901 1.05101|1.10408|1.15927 1.21665 1.27628| 1.33823 1.40255 1.46933 1.53862 1.61051 1.68506 1.76234 1.84244 1.92541 2.01136 1.061521.126161.19405 1.26532 1.34010 1.41852 1.50073 1.58687 1.67710 1.77156 1.87041 1.97382 2.08195 2.19497 2.31306 1.072141.148691.22987 1.31593 1.40710 1.50363 1.60578 1.71382 1.82804 1.94872 2.07616 2.21068 2.35261 2.50227 2.66002 8 1.08286 1.171661.26677 1.36857 1.47746 1.59385 1.71819 1.85093 1.992561 2.14359 2.30454 2.47596 2.65844 2.85259 3.05902 11.09369|1.195091.30477 1.42331 1.55133 1.68948 1.83846| 1.99900 2.17189 2.35795 2.55804 2.77308 3.00404 3.25195 3.51788 1.104621.218991.34392 1.48024 1.62889 1.79085 1.96715 2.15892 2.36736 2.59374 2.83942 3.10585 3.39457 3.70722 4.04556 11 1.11567|1.24337|1.38423 1.53945 1.71034 1.89830 2.10485 2.33164 2.58043 2.85312 3.15176 3.47855 3.83586 4.22623 4.65239 11.12683/1.268241.42576 1.60103 1.79586| 2.01220 2.25219 2.51817 2.81266 3.13843 3.49845 3.89598 4.33452 4.81790 5.35025 13 1.138091.293611.46853 1.66507 1.88565 2.13293 2.40985 2.71962 3.06580 3.45227 3.88328 4.36349 4.89801 5.49241 6.15279 14 11.14947 1.31948 1.51259 1.73168 1.97993 2.26090 2.57853 2.93719 3.34173 3.79750 4.310441 4.88711 5.53475 6.26135) 7.07571 (1.16097|1,34587/1.55797 1.80094 2.07893 2.39656 2.75903 3.17217 3.64248 4.17725 4.78459 5.47357 6.25427 7.13794 8.13706 1.172581.372791.60471 1.87298 2.18287 2.54035 2.95216 3.42594 3.97031 4.59497 5.31089 6.13039 7.06733 8.13725 9.35762 17 1.184301.400241.65285 1.94790 2.29202 2.69277 3.15882 3.70002 4.32763 5.05447) 5.89509 6.86604 7.98608 9.27646 10.76126 18 1.196151.42825 1.70243 2.02582 2.40662 2.85434 3.37993 3.99602 4.71712 5.55992 6.54355 7.68997 9.02427 10.57517 12.37545 19 1.208111.45681 1.75351 2.10685 2.52695 3.02560 3.61653 4.31570 5.141666.11591 7.26334 8.61276) 10.19742 12.05569 14.23177 1.22019 1.48595/1.80611 2.19112 2.65330 3.20714 3.86968 4.66096 5.60441 6.72750 8.06231 9.64629 11.52309 13.74349 16.36654 1.28243 1.640612.09378 2.66584 3.38635 4.29187 5.42743 6.84848 8.62308 10.83471 13.58546 17.00006 21.23054 26.46192 32.91895 30 1.347851.81136/2.42726 3.24340 4.32194 5.74349 7.61226 10.06266 13.26768 17.44940 22.89230 29.95992 39.11590 50.95016 66.21177 1.41660 1.99989 2.81386 3.94609 5.51602 7.6860910.67658 14.78534 20.41397 28.10244 38.57485 52.79962 72.06851 98.10018 133.17552 1.48886 2.20804 3.26204 4.80102 7.03999 10.28572 14.97446 21.72452 31.40942 45.25926 65.00087 93.05097 132.78155 188.88351 267.86355 1.564812.437853.78160 5.84118 8.98501 13.76461|21.00245 31.92045 48.32729 72.89048 109.53024163.98760 244.64140 363.67907 538.76927 50 1.644632.691594.38391 7.1066811.46740 18.4201529.45703 46.90161 74.35752 117.39085184.56483 289.00219 450.73593 700.23299 1,083.65744 60 1.81670 3.281035.89160 10.51963 18.67919 32.98769|57.94643101.25706 176.03129304.48164|524.05724897.59693 1,530.053472,595.918664,383.99875 Periods 1% 2% 3% 4% 5% 6% 7% 8% 9% 10% 11% 12% 13% 14% 15% 2: Present Value of $1 Future Value of an ordinary Annuity Periods 1% 2% 3% 4% 5% 6% 7% 8% 9% 10% 11% 12% 13% 1.000000 1.000000 1.00000 100000 100000 1.000000 1.000000 1.000000 1.000000 100000 1.000001 1.00000 1.000000 2.01000 2.02000 2.03000 2.04000 2.05000 2.06000 2.070002.08000 2.09000 2.10000) 2.11000 2.12000 2.130001 3 3.03010 3.06040 3.09090 3.12160 3.15250 3.18360 3.21490 3.24640 3.27810 3.31000 3.34210 3.37440 3.40690 4 4.06040 4.12161 4.18363 4.24646 4.310134.37462 4.43994 4.50611 4.57313 4.64100 4.70973 4.77933 4.84980 5 5.10101 5.20404 5.30914 5.41632 5.52563 5.63709 5.75074 5.86660 5.98471 6.10510 6.22780 6.35285 6.48027 6.15202 6.30812 6.46841 6.63298 6.80191 6.97532 7.15329 7.33593 7.52333 7.71561 7.91286 8.11519 8.32271 7.21354 7.43428 7.66246 7.89829 8.14201 8.39384 8.65402 8.92280 9.20043 9.48717 9.78327 10.08901 10.40466 8 8.28567 8.58297 8.89234 9.21423 9.54911 9.89747 10.25980 10.63663 11.02847 11.43589 11.85943 12.29969 12.75726) 9 9 .36853 9.75463 10.15911 10.58280 11.02656 11.49132) 11.97799 12.48756 13.02104 13.579481 14.16397| 14.77566| 15.415711 10.46221 10.94972 11.46388 12.00611 12.57789 13.18079 13.81645 14.48656| 15.19293 15.93742 16.72201 17.54874 18.41975 11 11.56683 12.16872 12.80780 13.48635 14.20679 14.97164 15.78360 16.64549 17.56029 18.53117 19.56143 20.65458 21.81432 12.68250 13.41209 14.19203 15.02581 15.91713 16.86994 17.88845 18.97713| 20.14072 21.38428 22.71319 24.13313 25.65018 13 13.80933 14.68033 15.61779 16.62684 17.71298 18.88214 20.14064 21.49530 22.95338 24.52271 26.21164 28.02911 29.98470 14 14.94742 15.97394 17.08632 18.29191 19.59863 21.01507 22.55049 24.21492 26.01919 27.97498 30.09492 32.39260 34.88271 15 16.09690 17.29342 18.59891 20.02359 21.57856 23.27597 25.12902 27.15211 29.36092 31.77248 34.40536 37.27971 40.41746) 17.25786) 18.63929 20.15688 21.82453 23.65749 25.67253 27.88805 30.32428 33.00340 35.94973 39.18995 42.75328 46.67173 17 18.43044 20.01207) 21.76159 23.69751 25.84037 28.21288 30.84022 33.75023 36.97370 40.54470 44.50084 48.88367 53.73906 119.61475 21.41231 23.41444 25.64541 28.13238] 30.90565 33.99903) 37.45024 41.30134 45.59917 50.39594 55.74971 61.72514 19 20.81090 22.84056 25.11687 27.67123 30.53900 33.75999 37.37896) 41.44626 46.01846 51.15909 56.93949 63.43968 70.74941 20 2.01900 24.29737 26.87037 29.77808 33.06595 36.78559 40.99549 45.76196 51.16012 57.27500 64.20283 72.05244 80.94683 25 28.24320 32.03030 36.45926 41.64591 47.72710 54.86451 63.24904 73.10594 84.70090 98.34706 114.41331 133.33387 155.61956 1: 30 34.78489 40.56808 47.57542 56.08494 66.43885 79.05819 94.46079 113.28321 136.30754 164.49402 199.02088 241.33268 293.19922 3 41.66028 49.99448 60.46208) 73.65222 90.32031 111.43478/138.23688 172.31680 215.71075 271.024371 341.58955 431.66350 546.68082 6! 18.88637 60.40198 75.40126 95.02552120.79977 154.76197199.63511 259.05652 337.88245 442.59256 581.82607 767.09142 1,013.70424 1,34 45 56.48107) 71.89271 92.71986|121.02939159.70016212.74351285.74931 386.50562 525.85873 718.90484 986.638561,358.23003 1.874.16463) 2,5 50 $4.46318 84.57940112.79687152.66708209.34800290.33590|406.52893 573.77016815.083561,163.908531,668.77115/2,400.01825 3,459.50712 4,99 60 61.66967 114.05154 163.05344237.99069 353.58372533.12818|813.52038 1,253.21330|1,944.792133,034.816404,755.065847,471.64111 11,761.94979 18,5 Periods 1% 2% 3% 4% 5% 6% 7% 8% 9% 10% 11% 12% 13% 4: Present Value of an Ordinary Annuity Present Value of an ordinary Annuity Periods 1% 2% 3% 4% 5% 6% 7% 8% 9% 10% 11% 12% 13% 14% 15% 0.99010 0.98039 0.97087 0.96154 0.95238] 0.94340 0.93458 0.92593 0.91743 0.90909 0.90090 0.89286 0.88496 0.87719 0.86957) 0.1 1.97040 1.94156 1.91347 1.88609 1.85941 1.83339 1.80802 1.78326 1.75911 1.73554 1.71252 1.69005) 1.66810 1.64666 1.62571 1.6 2.94099 2.88388 2.82861 2.77509 2.72325 2.67301 2.62432 2.57710 2.53129 2.48685 2.44371 2.40183 2.36115 2.32163 2.28323 2.: 3.90197 3.80773 3.71710 3.62990 3.54595 3.46511 3.38721 3.31213 3.23972 3.16987 3.10245 3.03735 2.97447 2.91371 2.85498 2. 4.85343| 4.71346 4.57971 4.45182 4.32948 4.21236 4.10020 3.99271 3.88965 3.79079 3.69590 3.60478 3.51723 3.43308 3.35216 3. 5.79548 5.60143 5.41719 5.24214 5.07569 4.91732 4.76654 4.62288 4.48592 4.35526 4.23054 4.11141 3.99755 3.88867 3.78448 3. 6.72819 6.47199 6.23028 6.00205 5.78637 5.58238 5.38929 5.20637 5.03295 4.86842 4.71220 4.56376 4.42261 4.288304.16042 4.1 7.65168 7.32548 7.01969 6.73274 6.46321 6.20979 5.97130 5.74664 5.53482 5.33493 5.14612 4.96764 4.79877 4.63886 4.48732 4.5 8.56602 8.16224 7.78611 7.43533 7.10782 6.80169 6.51523 6.24689 5.99525 5.75902 5.53705 5.32825 5.13166 4.94637 4.77158 4. 9.47130 8.98259 8.53020 8.11090 7.721737.36009 7.02358 6.71008 6.417666.14457 5.88923 5.65022 5.42624 5.216125.01877 4. 11 10.36763 9.78685 9.25262 8.76048 8.30641 7.88687 7.49867 7.13896 6.80519 6.49506 6.20652 5.93770 5.68694 5.45273 5.23371 5.6 12 11.25508 10.57534 9.95400 9.38507 8.863258.38384 7.94269 7.53608 7.16073 6.81369 6.49236 6.19437 5.91765 5.66029 5.42062 5. 12.13374 11.3483710.63496 9.98565 9.39357 8.85268 8.35765 7.90378 7.48690 7.10336 6.74987 6.42355 6.121815.84236 5.58315 5. 14 13.00370 12.10625/11.2960710.56312] 9.89864 9.294988.74547| 8.24424 7.78615 7.36669 6.98187 6.62817 6.30249 6.00207 5.72448 5. 13.86505 12.84926 11.9379411.11839 10.37966 9.71225 9.10791 8.55948 8.06069 7.60608 7.19087 6.810866.46238 6.14217 5.84737 5.! 14.71787 13.57771 12.56110 11.65230 10.83777 10.10590 9.44665 8.85137 8.31256 7.82371 7.37916 6.97399 6.60388 6.265065.95423 5. 17 15.5622514.29187|13.1661212.16567 11.27407 10.47726 9.76322 9.12164 8.54363 8.02155 7.54879 7.11963 6.72909 6.37286 6.04716 5: 18 16.39827 14.9920313.7535112.65930) 11.68959 10.82760 10.05909 9.37189 8.75563 8.20141 7.701627.24967 6.83991 6.46742 6.12797 5. 19 17.22601 15.6784614.32380 13.13394 12.08532 11.15812 10.33560 9.60360 8.95011 8.36492 7.839297.36578 6.93797 6.55037 6.19823 5. 18.04555 16.35143 14.8774713.59033 12.46221 11.46992 10.59401 9.81815 9.12855 8.51356 7.96333 7.46944 7.02475 6.62313 6.25933 5. 25 22.0231619.52346 17.4131515.62208 14.09394 12.7833611.65358 10.67478 9.82258 9.07704 8.42174 7.84314 7.32998 6.87293 6.46415 6.6 30 25.80771 22.3964619.60044 17.29203 15.37245 13.76483 12.40904 11.25778 10.27365 9.42691 8.69379 8.05518 7.49565 7.00266 6.56598 6. 35 29.40858|24.99862 21.48722 18.66461 16.37419 14.49825 12.94767 11.6545710.56682 9.64416) 8.85524 8.17550 7.58557) 7.07005) 6.616616. 32.8346927.35548|23.11477 19.79277 17.15909 15.04630 13.33171 11.92461 10.75736 9.77905 8.95105 8.24378 7.63438 7.10504 6.64178 6. 36.09451 29.49016|24.51871 20.72004 17.77407 15.45583 13.60552 12.10840 10.88120 9.86281 9.00791 8.28252 7.66086 7.12322 6.65429 6.4 50 39.19612 31.4236125.72976/21.48218 18.2559315.76186 13.80075 12.23348 10.961689.91481 9.041658.30450 7.67524 7.13266l 6.660511 6. 60 44.95504 34.7608927.67556|22.6234918.92929 16.16143 14.03918 12.37655 11.04799 9.96716 9.07356 8.32405 7.68728 7.14011 6.66515 6.1 Periods 1% 2% 3% 4% 5% 6% 7% 8% 9% 10% 11% 12% 13% 14% 15% 5: Future Value of an Annuity Due Future Value of an Annuity Due Periods 1% 2% 3% 4% 5% 6% 7% 8% 9% 10% 11% 12% 13% 1.01000 1.02000 1.03000 1.04000 1.05000 1.06000 1.07000 1.08000 1.09000 1.10000 1.11000 1.12000 1.13000 2 2.03010 2.06040 2.09090 2.12160 2.15250 2.18360 2.21490 2.24640 2.27810 2.31000 2.34210 2.37440 2.40690 3 3.06040 3.12161 3.18363 3.24646 3.31013 3.37462 3.43994 3.50611 3.57313 3.64100 3.70973 3.77933 3.84980 4 4.10101 4.20404 4.30914 4.41632) 4.52563 4.63709 4.750741 4.86660 4.984711 5.105101 5.22780 5.35285 5.48027 5 5.15202 5.30812 5.46841 5.63298 5.80191 5.97532 6.15329 6.33593 6.52333 6.71561 6.91286 7.11519 7.32271 6.21354 6.43428 6.662466.89829 7.14201 7.39384 7.65402 7.92280 8.20043 8.48717 8.78327 9.08901 9.40466 7.28567 7.58297 7.89234 8.21423 8.54911 8.89747 9.25980| 9.63663 10.02847 10.43589 10.85943 11.29969 11.75726 8.36853 8.75463 9.15911 9.58280 10.02656 10.49132 10.97799| 11.48756 12.02104 12.57948 13.16397 13.77566 14.41571 9.46221 9.94972 10.46388 11.00611 11.57789 12.18079 12.81645 13.48656 14.19293 14.93742 15.722011 16.54874 17.41975 10.56683 11.16872 11.80780 12.48635 13.20679 13.97164 14.78360 15.64549 16.56029 17.53117 18.56143 19.65458 20.81432 11 111.68250 12.41209 13.19203 14.02581 14.91713 15.86994 16.88845 17.97713 19.14072 20.38428 21.71319 23.13313 24.65018 12 12.80933 13.68033 14.61779 15.62684 16.71298 17.88214 19.14064 20.49530 21.95338 23.522711 25.21164 27.02911 28.98470 13 13.94742 14.97394 16.08632 17.29191 18.59863 20.01507) 21.55049 23.21492 25.01919 26.97498 29.09492 31.392601 33.88271 : 14 15.09690 16.29342 17.59891 19.02359 20.57856 22.27597 24.12902 26.15211 28.36092 30.77248 33.40536 36.27971 39.41746 16.25786 17.63929 19.15688 20.82453 22.65749 24.67253 26.88805 29.32428 32.00340 34.94973 38.18995 41.75328 45.67173 16 17.43044 19.01207 20.76159 22.69751 24.84037 27.21288) 29.84022 32.75023 35.97370 39.54470 43.50084 47.88367 52.73906 18.61475 20.41231 22.41444 24.64541 27.13238 29.90565 32.99903 36.45024 40.30134 44.59917 49.39594 54.74971 60.725141 18 19.81090 21.84056] 24.116870 26.67123 29.53900 32.75999 36.378961 40.44626 45.01846] 50.15909 55.93949 62.43968 69.749411 21.01900 23.29737 25.87037 28.77808 32.06595 35.78559 39.99549 44.76196 50.16012 56.27500 63.20283 71.05244 79.94683 22.23919 24.78332 27.67649 30.96920 34.71925 38.99273 43.86518| 49.42292 55.76453 63.00250 71.26514 80.69874 91.46992 11 28.52563 32.67091 37.55304 43.31174 50.1134558.15638 67.67647 78.95442 92.32398 108.18177 126.99877 149.33393 175.85010 21 30 35.13274 41.37944 49.00268 58.32834 69.76079 83.80168101.07304 122.34587 148.57522| 180.94342 220.91317 270.29261 331.31511 41 42.07688 50.99437 62.27594 76.59831 94.83632 118.12087147.91346 186.10215 235.12472 298.12681 379.16441 483.46312 617.74933 7! 40 49.37524 61.61002 77.6633098.82654 126.83976164.04768213.60957 279.78104 368.29187 486.85181 645.82693 859.14239 1,145.48579 1,5 45 17.04589 73.33056 95.5014625.87057167.68516225.50812305.75176 417.42607 573.18602 790.795321,095.16880/1,521.21764 2,117.80603 2,9 55.10781 86.27099116.18077158.77377219.81540307.75606434.98595 619.67177 888.441081,280.29938 1,852.335982,688.02044 3,909.24304 5,6! 60 $2.48637 116.33257167.94504247.51031 371.26290565.11587 870.46681 1,353.470362,119.823423,338.298035,278.123088,368.2380513,291.0032721,1; Periods 1% 2% 3% 4% 5% 6% 7% 8% 9% 10% 11% 12% 13% 6: Present Value of an Annuity Due 11 Present Value of an Annuity Due Periods) 1% 2% 3% 4% 5% 6% 7% 8% 9% 10% 11% 12% 13% 14% 15% | 1.00000 1.00000) 1.00000 1.00000 1.00000) 1.00000) 1.00000 1.00000) 1.00000 1.00000 1.00000 1.00000) 1.00000 1.00000 1.00000 1. | 1.99010/ 1.98039) 1.97087) 1.96154) 1.95238) 1.94340) 1.93458) 1.92593| 1.91743) 1.90909) 1.90090) 1.89286| 1.88496| 1.87719| 1.86957) 1. 2.97040| 2.94156) 2.91347) 2.88609) 2.85941) 2.83339| 2.80802 2.78326) 2.75911) 2.73554) 2.71252 2.69005) 2.66810| 2.64666] 2.62571| 2. | 3,94099| 3,88388| 3.82861) 3.77509) 3,72325) 3.67301) 3.62432 3.57710| 3.53129) 3,48685) 3.44371) 3,40183) 3.36115| 3.32163) 3.28323| 3. 4.90197 4.80773 4.71710 4.62990) 4.54595 4.46511) 4.38721| 4.31213| 4.23972| 4.16987) 4.10245) 4.03735) 3.97447) 3.91371) 3.85498 5.85343| 5.71346) 5.57971) 5.45182) 5.32948) 5.21236| 5.10020] 4.99271) 4.88965) 4.79079] 4.69590) 4.60478| 4.51723 4.43308) 4.35216) 4. 6.79548| 6.60143) 6.41719) 6.24214) 6.07569) 5.91732| 5.76654 5.62288| 5.48592| 5.35526| 5.23054 5.11141) 4.99755) 4.88867) 4.78448) 4. 7.72819 7.47199) 7.23028 7.00205) 6.78637 6.58238| 6.389291 6.20637 6.03295) 5.86842| 5.71220) 5.56376 5.42261) 5.28830) 5.16042 5. | 8.65168) 8.32548) 8.01969) 7.73274) 7,46321) 7.20979) 6.97130) 6.74664) 6.53482| 6.33493) 6.14612| 5,96764) 5.79877) 5.63886| 5.48732 5. 9.56602) 9.16224) 8.78611) 8.43533| 8.10782 7.80169) 7.51523| 7.24689) 6.99525) 6.75902| 6.53705 6.32825) 6.13166) 5.94637) 5.77158| 10.47130) 9.98259) 9.53020| 9.11090| 8.72173 8.36009] 8.02358| 7.71008| 7.41766| 7.14457) 6.88923 6.65022| 6.42624 6.21612| 6.01877] 5, |11.36763| 10.78685|10.25262 9.76048| 9.30641) 8.88687) 8,49867) 8.13896] 7,80519] 7,49506) 7.20652 6.93770) 6.68694) 6.45273| 6.23371) 13 [12.25508| 11.57534| 10.95400| 10.38507) 9.86325] 9.38384) 8.94269) 8.53608| 8,16073| 7.81369) 7.49236| 7.19437) 6.91765) 6.66029) 6.42062 6. 14 |13,13374| 12.34837] 11.63496| 10.98565|10.39357) 9.85268) 9.35765) 8.90378| 8,48690 8.103361 7.749871 7.42355) 7.12181) 6.84236) 6.58315) 6. 14.00370| 13.10625|12.29607) 11.56312|10.89864) 10.29498) 9.74547) 9.24424/ 8.78615] 8.36669) 7.98187) 7.62817| 7.30249) 7.00207) 6.72448| 14.86505| 13.84926 12.93794| 12.11839|11.37966| 10.71225|10.10791) 9.55948| 9.06069/ 8.60608| 8.19087) 7.81086| 7.46238| 7.14217) 6.84737) 6. 15.71787) 14.57771|13.56110| 12.65230| 11.83777|11.10590|10.44665/ 9.85137) 9.31256| 8.82371) 8.37916| 7.97399) 7.60388| 7.26506| 6.95423) |16.562251 15.29187) 14.16612|13.16567|12.27407|11.47726|10.76322 10.12164) 9.54363) 9.02155) 8.54879| 8.11963| 7.72909| 7.37286) 7.04716| 6. |17.39827| 15.99203|14.75351| 13.65930 12.68959) 11.82760|11.05909) 10.37189/ 9.75563/ 9.20141) 8.70162 8.24967) 7.83991) 7.46742| 7.12797) 18.22601) 16.67846|15.32380| 14.13394| 13.08532| 12.15812|11.33560| 10.60360) 9.95011| 9.36492| 8.83929] 8.36578| 7.93797| 7.55037] 7.19823| 6, 22.24339| 19.91393|17.93554) 16.24696| 14.79864) 13.55036| 12.46933| 11.52876|10.70661) 9.98474) 9.34814) 8.78432| 8.28288) 7.83514) 7.43377] 7, 26.06579| 22.84438|20.18845) 17.98371|16.14107) 14.59072|13.27767) 12.15841|11.19828| 10.36961) 9.65011) 9.02181) 8.47009| 7.98304) 7.55088) 7. 29.70267| 25.49859|22.13184) 19.41120|17.19290| 15.36814|13.85401) 12.58693|11.51784| 10.60857) 9.82932 9.15656) 8.57170) 8.05985) 7.60910| 7. 33.16303| 27,90259|23.80822| 20.58448| 18.01704) 15.94907|14.26493| 12.87858|11.72552|10.75696) 9.93567) 9.23303) 8.62684) 8.09975| 7.63805) 7. |36.45545| 30.07996|25.25427| 21.54884|18.66277|16.38318|14,55791| 13.07707|11.86051| 10.84909) 9.99878| 9,27642| 8.65678| 8.12047) 7.65244 7. (39.58808| 32.05208/26.50166| 22.34147| 19.16872| 16.70757) 14.76680| 13.21216|11.94823| 10.90630|10.03624 9.30104) 8.67302| 8.13123| 7.65959| 7. 45.40459| 35.45610|28.50583| 23.52843) 19.87575| 17.13111|15.02192| 13.36668|12.04231) 10.96387|10.07165] 9.32294) 8.68663) 8.13972| 7.66492| 7. Periods 1% 2% 3% 4% 5% 6% 7% 8% 9% 10% 11% 12% 13% 14% 15% - - - - - - - - - - -
Step by Step Solution
There are 3 Steps involved in it
Get step-by-step solutions from verified subject matter experts
