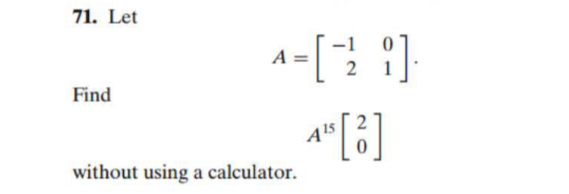
Question: 71. Let Find A without using a calculator. =[] A an []
71. Let Find A without using a calculator. =[] A an []
Step by Step Solution
There are 3 Steps involved in it
Get step-by-step solutions from verified subject matter experts
