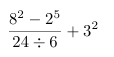
Question: ( 8 ^ ( 2 ) - 2 ^ ( 5 ) ) / ( 2 4 - : 6 ) + 3 ^ (
:
Step by Step Solution
There are 3 Steps involved in it
1 Expert Approved Answer
Step: 1 Unlock
Question Has Been Solved by an Expert!
Get step-by-step solutions from verified subject matter experts
Step: 2 Unlock
Step: 3 Unlock
