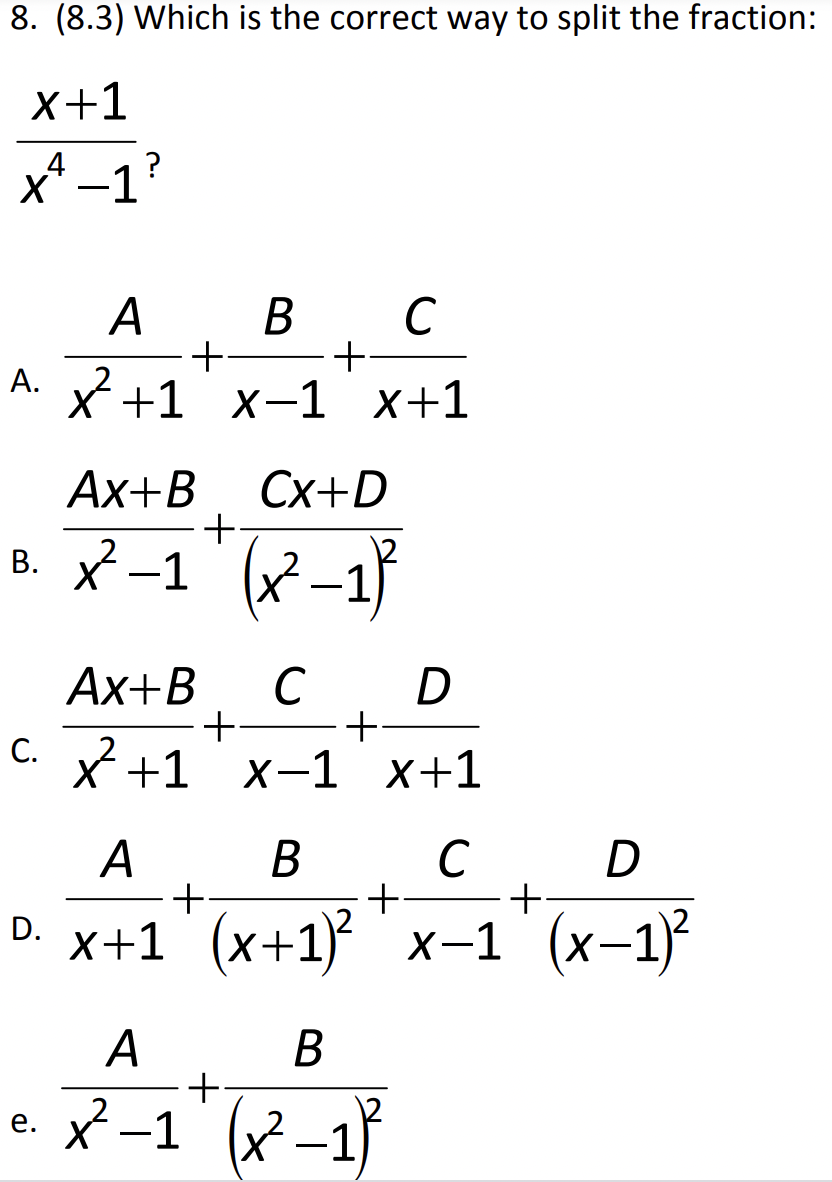
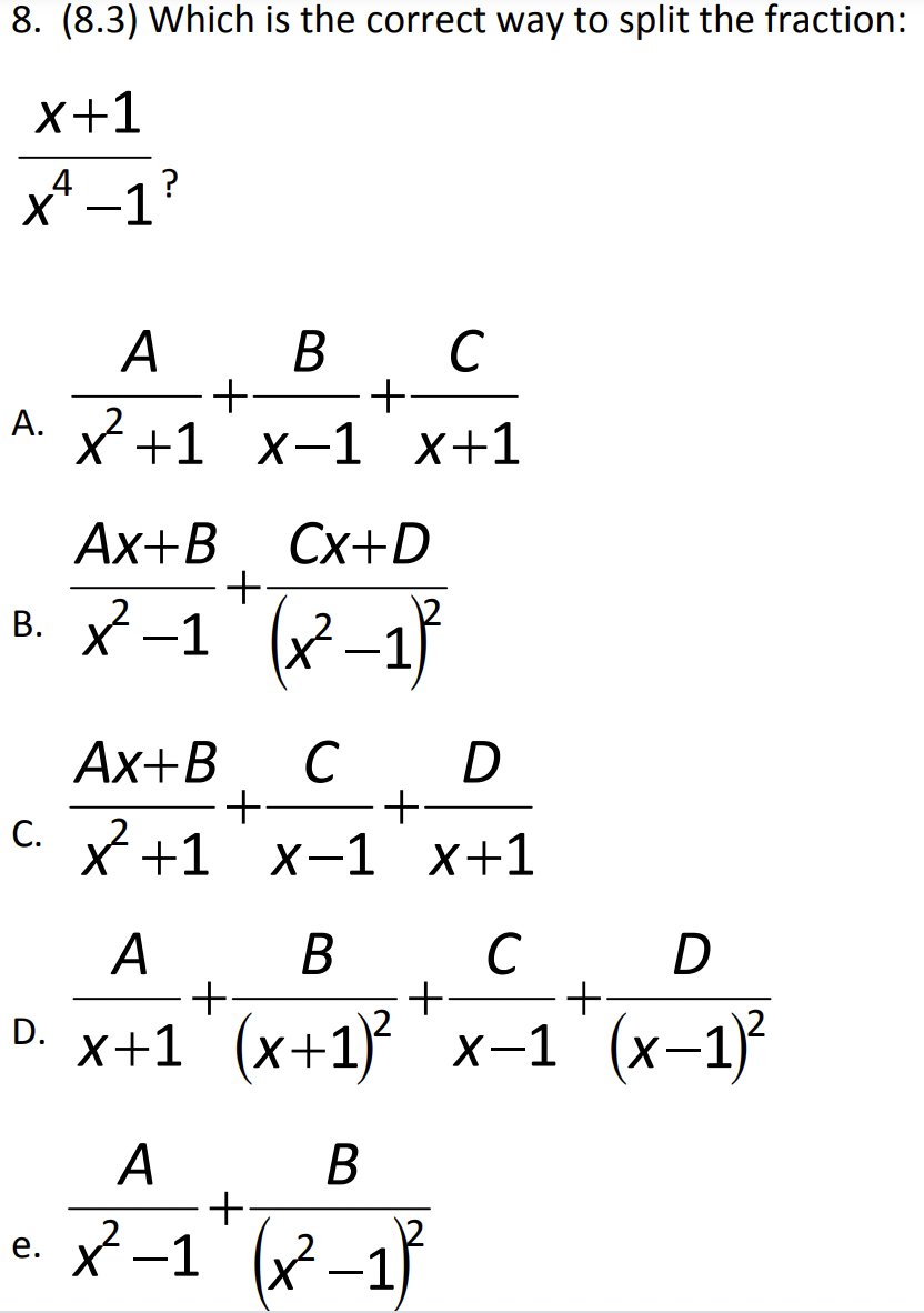
Question: 8. (8.3) Which is the correct way to split the fraction: X+1 x4 -1? A B C + + A. X+1 x-1 x+1 AxtB CX+D


8. (8.3) Which is the correct way to split the fraction: X+1 x4 -1? A B C + + A. X+1 x-1 x+1 AxtB CX+D B. X -1 ( x2-1) Ax+ B C D + + C. X+1 x-1 x+1 A B C D + + D. x+1 (x+1)2 x-1 (x-1)2 A B e. X -1 (x-1)
Step by Step Solution
There are 3 Steps involved in it
Get step-by-step solutions from verified subject matter experts
