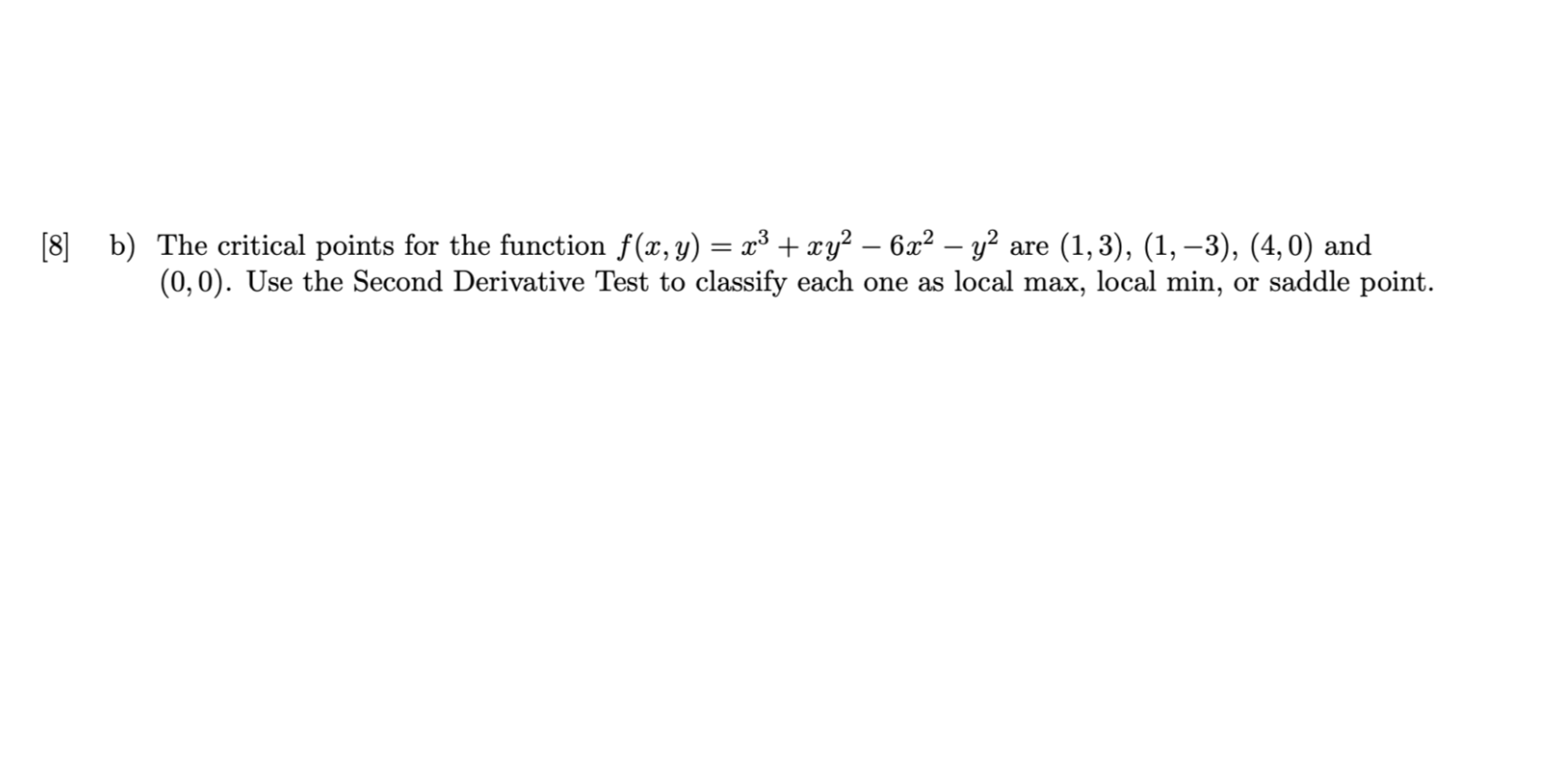
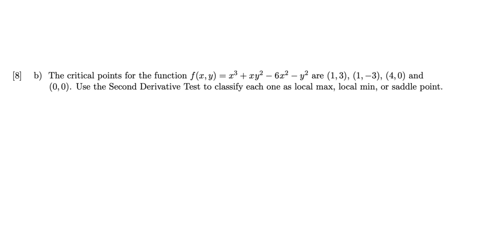
Question: [8] b) The critical points for the function f($, y) = 2:3 + my2 6:132 y2 are (1, 3), (1, 3), (4, U) and (0,
![[8] b) The critical points for the function f($, y) =](https://s3.amazonaws.com/si.experts.images/answers/2024/06/66641e821a9ef_44266641e8202020.jpg)

[8] b) The critical points for the function f($, y) = 2:3 + my2 6:132 y2 are (1, 3), (1, 3), (4, U) and (0, 0). Use the Second Derivative Test to classify each one as local max, local min, or saddle point
Step by Step Solution
There are 3 Steps involved in it
Get step-by-step solutions from verified subject matter experts
