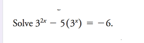
Question: 8. fSolve 32x - 5 (3*) = -6.Write the correct answer. If (mm) is a point on the graph of y = f (2:). Which
8.



Step by Step Solution
There are 3 Steps involved in it
1 Expert Approved Answer
Step: 1 Unlock
Question Has Been Solved by an Expert!
Get step-by-step solutions from verified subject matter experts
Step: 2 Unlock
Step: 3 Unlock
