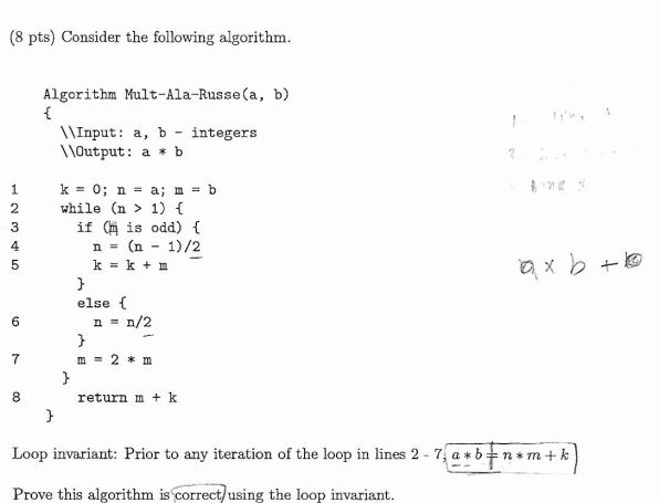
Question: (8 pts) Consider the following algorithm Algorithm Mult-Ala-Russe(a, b) Input: a, b integers Output: ab 2 while (n> 1) f 3 4 5 if n

(8 pts) Consider the following algorithm Algorithm Mult-Ala-Russe(a, b) Input: a, b integers Output: ab 2 while (n> 1) f 3 4 5 if n is odd) f n = (n- 1)/2 else n = n/2 7 8 return m + k Loop invariant: Prior to any iteration of the loop in lines 2-7, a n * m + k Prove this algorithm is correct/using the loop invariant
Step by Step Solution
There are 3 Steps involved in it
Get step-by-step solutions from verified subject matter experts
