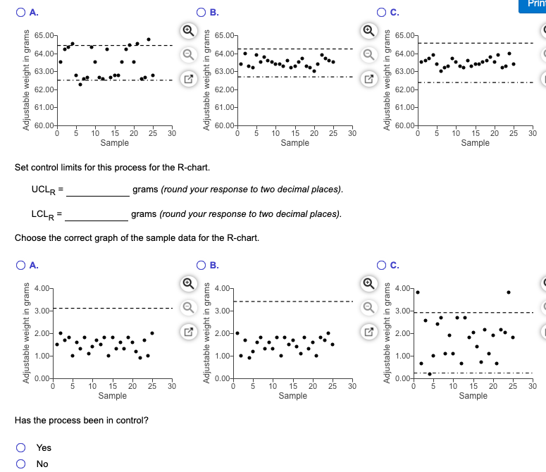
Question: 8. Refer to the table Factors for Computing Control Chart Limits (3 sigma) for this problem. Pet Products, Inc., caters to the growing market for



Step by Step Solution
There are 3 Steps involved in it
1 Expert Approved Answer
Step: 1 Unlock
Question Has Been Solved by an Expert!
Get step-by-step solutions from verified subject matter experts
Step: 2 Unlock
Step: 3 Unlock
