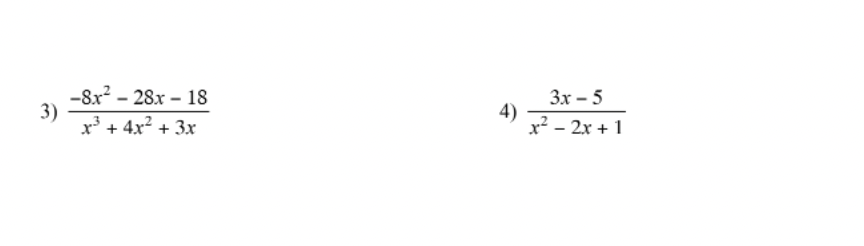
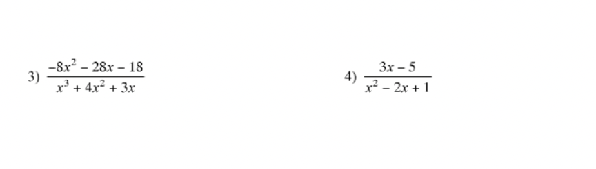
Question: -8x2 - 28x - 18 3x - 5 4) 3) x2 - 2x + 1 x3 + 4x- + 3x


-8x2 - 28x - 18 3x - 5 4) 3) x2 - 2x + 1 x3 + 4x- + 3x
Step by Step Solution
There are 3 Steps involved in it
1 Expert Approved Answer
Step: 1 Unlock
Question Has Been Solved by an Expert!
Get step-by-step solutions from verified subject matter experts
Step: 2 Unlock
Step: 3 Unlock
