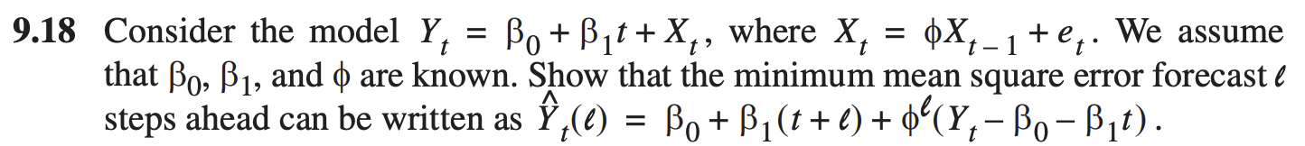
Question: 9 . 1 8 Consider the model Y t = 0 + 1 t + x t , where x t = x t -
Consider the model where assume
that and known. Show that the minimum mean square error forecast
steps ahead can written hat
Step by Step Solution
There are 3 Steps involved in it
1 Expert Approved Answer
Step: 1 Unlock
Question Has Been Solved by an Expert!
Get step-by-step solutions from verified subject matter experts
Step: 2 Unlock
Step: 3 Unlock
