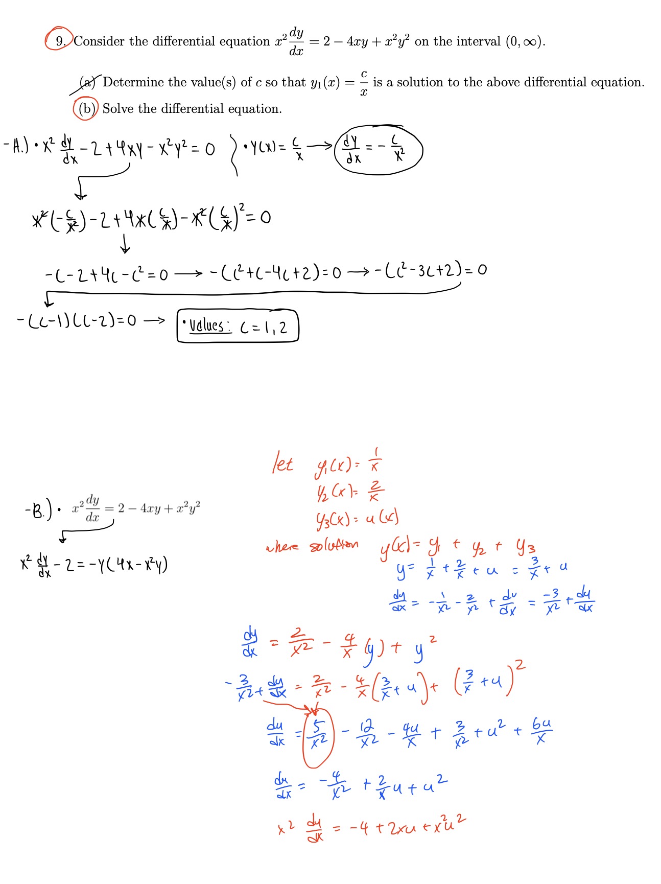
Question: 9. Consider the differential equation x2 ay = 2 - 4xy + xy on the interval (0, co). (a) Determine the value(s) of c so

Step by Step Solution
There are 3 Steps involved in it
1 Expert Approved Answer
Step: 1 Unlock
Question Has Been Solved by an Expert!
Get step-by-step solutions from verified subject matter experts
Step: 2 Unlock
Step: 3 Unlock
