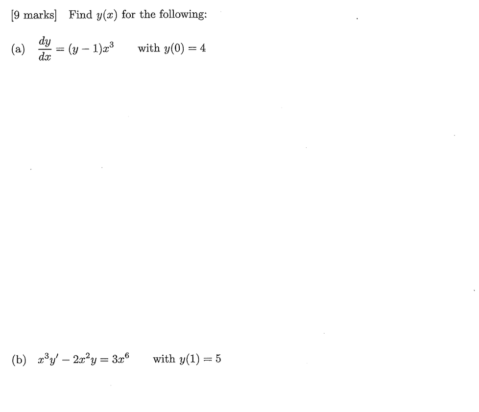
Question: [ 9 marks ] Find y ( x ) for the following: ( a ) d y d x = ( y - 1 )
marks Find for the following:
with
with
Step by Step Solution
There are 3 Steps involved in it
1 Expert Approved Answer
Step: 1 Unlock
Question Has Been Solved by an Expert!
Get step-by-step solutions from verified subject matter experts
Step: 2 Unlock
Step: 3 Unlock
