Question: 9:36 1 1 5GE 9:36 < Classwork 3.3 to... .11 5GE 7) There are 5000 adults in a community. A researcher randomly selects 300 adults





9:36 1 1 5GE
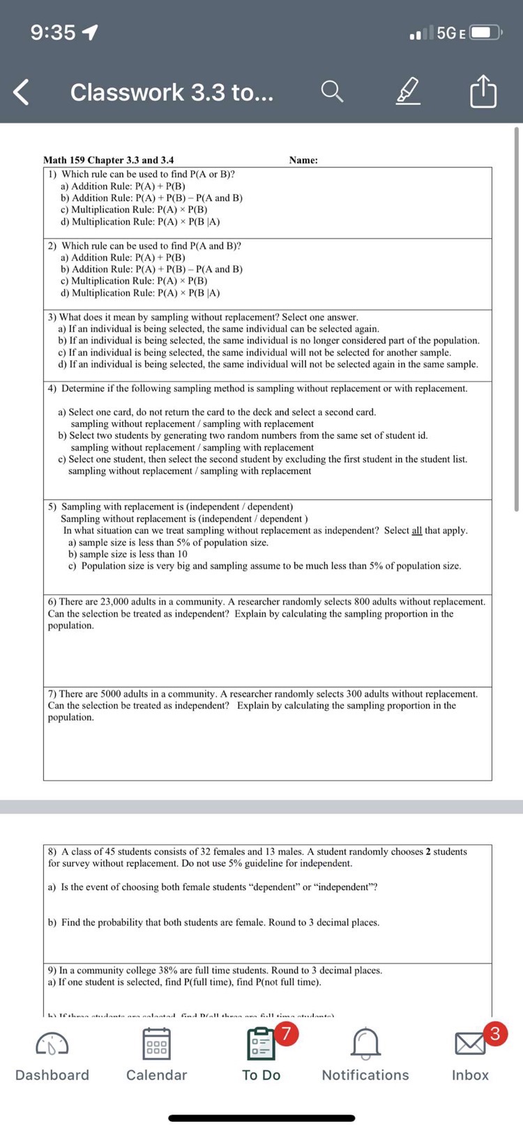
9:36 < Classwork 3.3 to... .11 5GE 7) There are 5000 adults in a community. A researcher randomly selects 300 adults without replacement. Can the selection be treated as independent? Explain by calculating the sampling proportion in the population. 8) A class of 45 students consists of 32 females and 13 males. A student randomly chooses 2 students for survey Without replacement. DO not use 50/0 guideline for independent. a) Is the event of choosing both female students "dependent" or b) Find the probability that both students are female. Round to 3 decimal places. 9) In a community college 38% are full time students. Round to 3 decimal places. a) If one student is selected, find P(full time), find P(not full time). b) If three students are selected, find P(all three are full time students). c) If three students are selected, find P(all three are not full time students) d) If three students are selected, find P( at least one full time) 10) A shipment Of 300 electronic gadgets consists Of 20 defective gadgets a) If one gadget is selected find probability it is defective, find probability that it is good. defective) = P (good) = b) Ifthree units are selected randomly without replacement, what is the sample proportion of 3 units out of the whole shipment? Can the 50/0 guideline be used for treating the sample as independent? Explain. c) What is the probability that all three components are good? Round to 3 decimal places. I l) In a job application of applicants, 162 applicants are from out of state. a) Find probability that one randomly selected applicant is from out of state. Find probability that one applicant is from local. b) If 45 applicants are randomly selected without replacement, what is the proportion of sample in the population? Can the 5% guideline be used for treating the sample as independent? Explain. c) What is the probability that all 45 applicants selected are local applicants? Dashboard Calendar To Do Notifications Inbox
Step by Step Solution
There are 3 Steps involved in it
Get step-by-step solutions from verified subject matter experts
