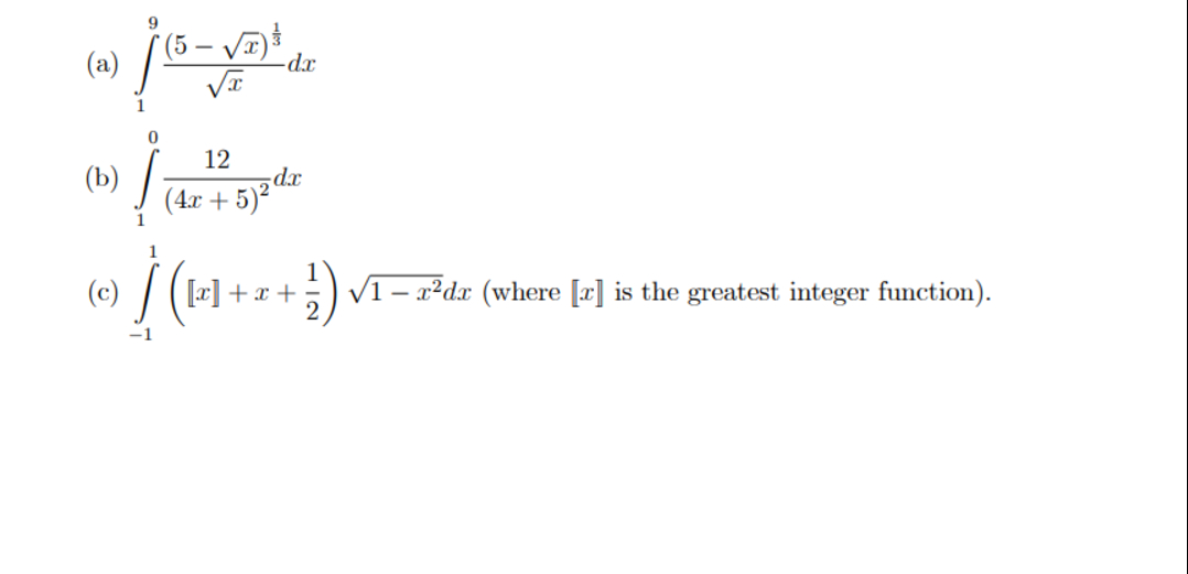
Question: ( a ) 1 9 ( 5 - x 2 ) 1 3 x 2 d x ( b ) 1 0 1 2 (
the greatest integer function
Step by Step Solution
There are 3 Steps involved in it
1 Expert Approved Answer
Step: 1 Unlock
Question Has Been Solved by an Expert!
Get step-by-step solutions from verified subject matter experts
Step: 2 Unlock
Step: 3 Unlock
