Question: (A) -1601 + 804 + 2405 +b = -1 -801 + 1604 + 20a5 + b = 1 -24as + 20a4 + 5205 +b =


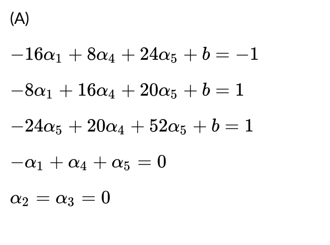
(A) -1601 + 804 + 2405 +b = -1 -801 + 1604 + 20a5 + b = 1 -24as + 20a4 + 5205 +b = 1 -a1 + a4 + 5 = 0 02 = Q3 = 0Compute the values of the SVM classifier parameters for the a-weights of the data points and the offset b for this data set. Question 4 1 pts 01 = Question 5 1 pts
Step by Step Solution
There are 3 Steps involved in it
Get step-by-step solutions from verified subject matter experts
