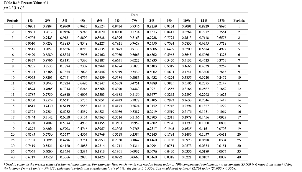
Question: A $177,900 initial investment will generate the following present values of net cash flows. What is the break-even time for this investment? (PV of




A $177,900 initial investment will generate the following present values of net cash flows. What is the break-even time for this investment? (PV of $1, FV of $1, PVA of $1, and FVA of $1) (Round "Break-even time" answer to 1 decimal place.) Present Value of Net Cash Flows Year Initial investment $ (177,900) 1. 53,636 2. 48,758 3. 39,391 4. 40,297 5. 36,633 Cumulative Present Value of Net Cash Flows $ (177,900) (124,264) (75,506) (36,115) 4,182 40,815 Break-even time years
Step by Step Solution
There are 3 Steps involved in it
1 Expert Approved Answer
Step: 1 Unlock
Question Has Been Solved by an Expert!
Get step-by-step solutions from verified subject matter experts
Step: 2 Unlock
Step: 3 Unlock
