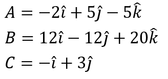
Question: A = - 2 hat ( ) + 5 hat ( ) - 5 hat ( k ) B = 1 2 hat ( )
Ahathathat
hathathat
hathat
FIND THE DOT PRODUCT OF AB:
Step by Step Solution
There are 3 Steps involved in it
1 Expert Approved Answer
Step: 1 Unlock
Question Has Been Solved by an Expert!
Get step-by-step solutions from verified subject matter experts
Step: 2 Unlock
Step: 3 Unlock
