Question: _> } | a | 5, and b _} Determine 4H. + > } a = 8, and the angle formed by (1 and b






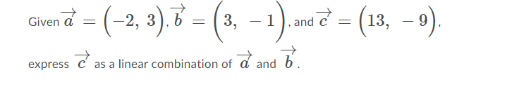
_> } | a | 5, and b _} Determine 4H. + > } a = 8, and the angle formed by (1 and b is 55 . } b . Round your answer to 2 decimal places. Given a = (-2, 3),6- 3, - 1 , and c 13, - 9). express C as a linear combination of a and b.Simplify the following linear combination and write your answer in component form: a = 1 - 2j, b = j - 3k, and c = 1 - 3j + 2k. [3 marks] NIP (2a - 4b - 80) (3a - 6b + 96)
Step by Step Solution
There are 3 Steps involved in it
Get step-by-step solutions from verified subject matter experts
