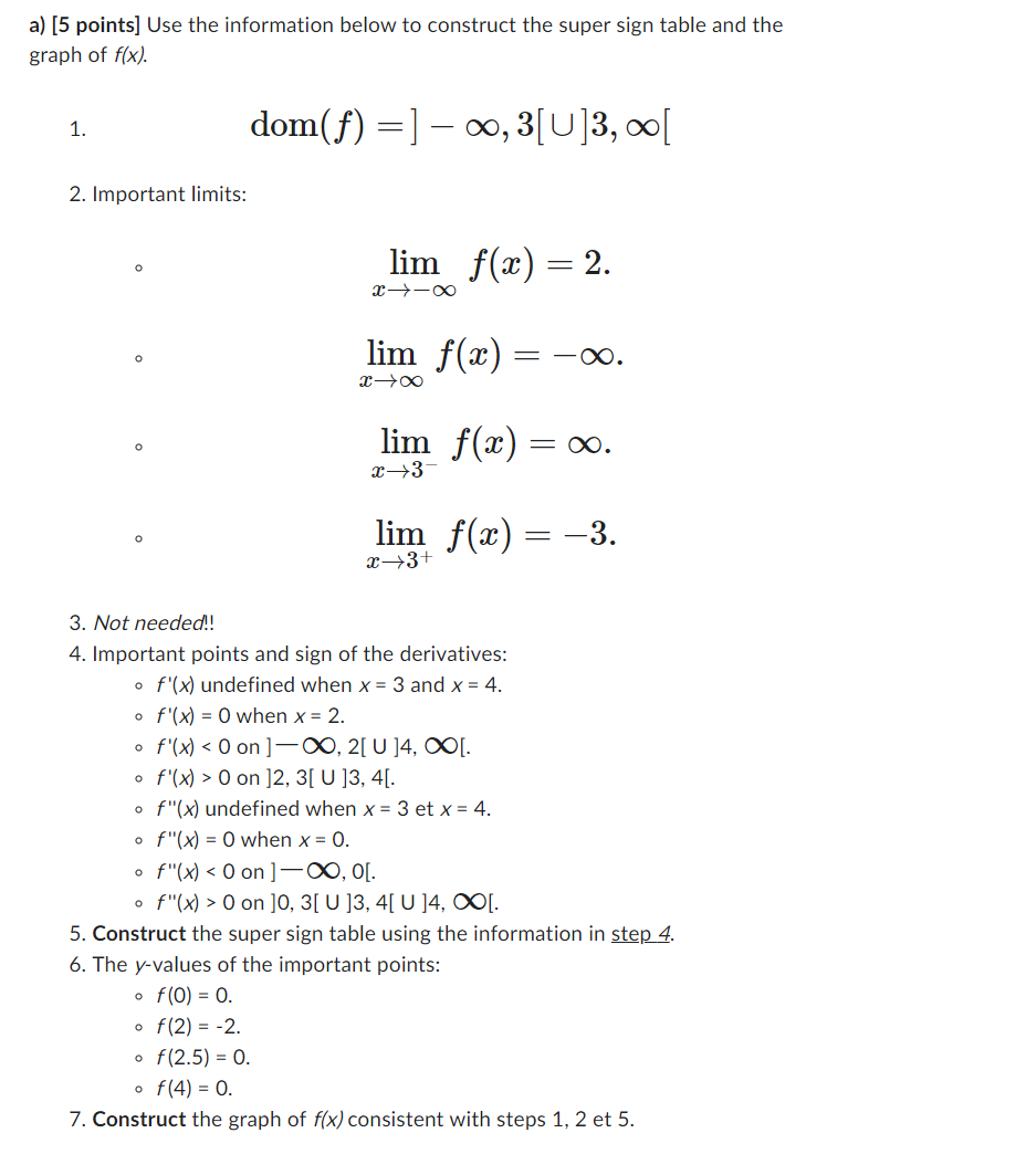
Question: a) [5 points] Use the information below to construct the super sign table and the graph of f(x). 1 dom(f) =] - 0o, 3[ U]3,
![a) [5 points] Use the information below to construct the super](https://dsd5zvtm8ll6.cloudfront.net/si.experts.images/questions/2024/10/67124e77c4ecc_98367124e77ac025.jpg)
a) [5 points] Use the information below to construct the super sign table and the graph of f(x). 1 dom(f) =] - 0o, 3[ U]3, col 2. Important limits: lim f(a) = 2. lim f(ac) = -co. lim f(x) = 00. x-3 lim f(x) = -3. x-3+ 3. Not needed! 4. Important points and sign of the derivatives: . f'(x) undefined when x = 3 and x = 4. o f'(x) = 0 when x = 2. . f'(x) 0 on ]2, 3[ U ]3, 4[. o f"(x) undefined when x = 3 et x = 4. o f"(x) = 0 when x = 0. of"(x) 0 on ]0, 3[ U ]3, 4[ U ]4, OO[. 5. Construct the super sign table using the information in step 4. 6. The y-values of the important points: o f (0) = 0. o f (2 ) = -2. . f (2.5 ) = 0. o f (4 ) = 0. 7. Construct the graph of f(x) consistent with steps 1, 2 et 5
Step by Step Solution
There are 3 Steps involved in it
Get step-by-step solutions from verified subject matter experts
