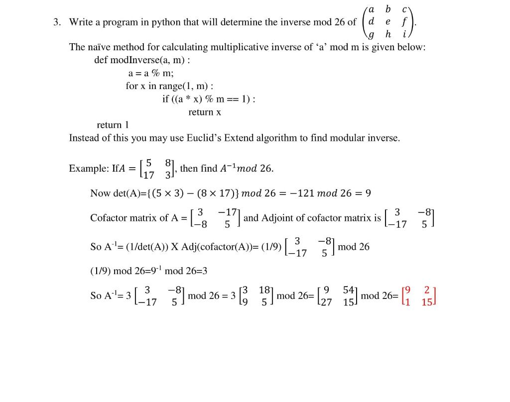
Question: a b 3. Write a program in python that will determine the inverse mod 26 of d e h The nave method for calculating

a b 3. Write a program in python that will determine the inverse mod 26 of d e h The nave method for calculating multiplicative inverse of 'a' mod m is given below: def modInverse(a,m): a = a % m; for x in range(1, m): return 1 Instead of this you may use Euclid's Extend algorithm to find modular inverse. if ((a * x) % m == 1) : return x Example: IfA = 157 3]. then find A- mod 26. Now det(A)={(5 x 3) - (8 17)} mod 26 = -121 mod 26 = 9 -171 =[8] and Adjoint of cofactor matrix is -8 5 Cofactor matrix of A = -81 5 So A= (1/det(A)) X Adj(cofactor(A))= (1/9) [173] (1/9) mod 26-9- mod 26-3 3\_-17 31 5 So A- = 3 18 = 3 [3 59] mod 26 = 3 mod 26 541 -127 53] mod 26= 3 -17 mod 26- 31 [212 235]
Step by Step Solution
There are 3 Steps involved in it
The program is written as follows Explanation of the functions in the module This module includes 2 ... View full answer
Get step-by-step solutions from verified subject matter experts
