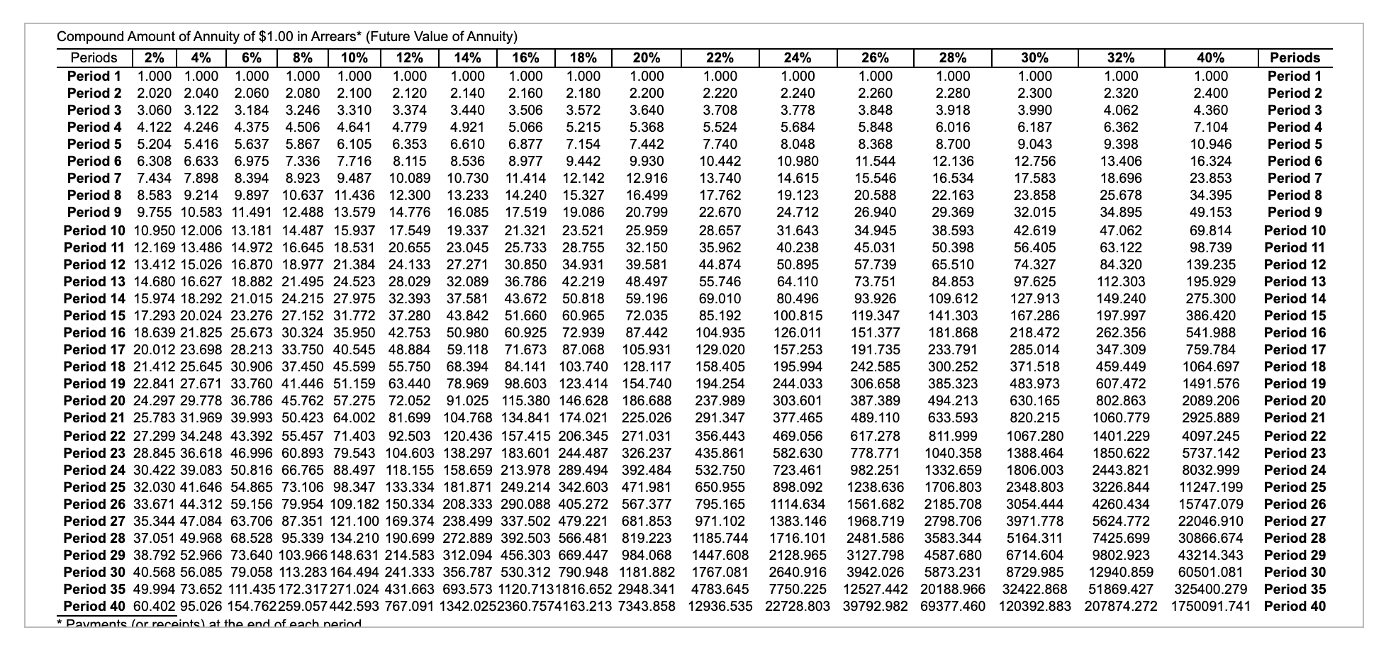
Question: A B D 1 Project A Project B Project C 2 Projected cash outflow 3 Net initial investment $ 3,000,000 $ 2,100,000 $ 3,000,000 4







A B D 1 Project A Project B Project C 2 Projected cash outflow 3 Net initial investment $ 3,000,000 $ 2,100,000 $ 3,000,000 4 Projected cash inflows 5 Year 1 $ 1,200,000 $ 1,200,000 $ 1,700,000 6 Year 2 1,200,000 600,000 1,700,000 7 Year 3 1,200,000 500,000 200,000 8 Year 4 1,200,000 100,000 9 Required rate of return 6% 6% 6% Present Value of $1 Periods 2% Period 1 0.980 Period 2 0.961 Period 3 0.942 Period 4 0.924 Period 5 0.906 Period 6 0.888 Period 7 0.871 Period 8 0.853 Period 90.837 Period 10 0.820 Period 11 0.804 Period 12 0.788 Period 13 0.773 Period 14 0.758 Period 15 0.743 Period 16 0.728 Period 17 0.714 Period 18 0.700 Period 19 0.686 Period 20 0.673 Period 21 0.660 Period 22 0.647 Period 23 0.634 Period 24 0.622 Period 25 0.610 Period 26 0.598 Period 27 0.586 Period 28 0.574 Period 29 0.563 Period 30 0.552 Period 35 0.500 Period 40 0.453 4% 0.962 0.925 0.889 0.855 0.822 0.790 0.760 0.731 0.703 0.676 0.650 0.625 0.601 0.577 0.555 0.534 0.513 0.494 0.475 0.456 0.439 0.422 0.406 0.390 0.375 0.361 0.347 0.333 0.321 0.308 0.253 0.208 6% 0.943 0.890 0.840 0.792 0.747 0.705 0.665 0.627 0.592 0.558 0.527 0.497 0.469 0.442 0.417 0.394 0.371 0.350 0.331 0.312 0.294 0.278 0.262 0.247 0.233 0.220 0.207 0.196 0.185 0.174 0.130 0.097 8% 0.926 0.857 0.794 0.735 0.681 0.630 0.583 0.540 0.500 0.463 0.429 0.397 0.368 0.340 0.315 0.292 0.270 0.250 0.232 0.215 0.199 0.184 0.170 0.158 0.146 0.135 0.125 0.116 0.107 0.099 0.068 0.046 10% 0.909 0.826 0.751 0.683 0.621 0.564 0.513 0.467 0.424 0.386 0.350 0.319 0.290 0.263 0.239 0.218 0.198 0.180 0.164 0.149 0.135 0.123 0.112 0.102 0.092 0.084 0.076 0.069 0.063 0.057 0.036 0.022 12% 0.893 0.797 0.712 0.636 0.567 0.507 0.452 0.404 0.361 0.322 0.287 0.257 0.229 0.205 0.183 0.163 0.146 0.130 0.116 0.104 0.093 0.083 0.074 0.066 0.059 0.053 0.047 0.042 0.037 0.033 0.019 0.011 14% 0.877 0.769 0.675 0.592 0.519 0.456 0.400 0.351 0.308 0.270 0.237 0.208 0.182 0.160 0.140 0.123 0.108 0.095 0.083 0.073 0.064 0.056 0.049 0.043 0.038 0.033 0.029 0.026 0.022 0.020 0.010 0.005 16% 0.862 0.743 0.641 0.552 0.476 0.410 0.354 0.305 0.263 0.227 0.195 0.168 0.145 0.125 0.108 0.093 0.080 0.069 0.060 0.051 0.044 0.038 0.033 0.028 0.024 0.021 0.018 0.016 0.014 0.012 0.006 0.003 18% 0.847 0.718 0.609 0.516 0.437 0.370 0.314 0.266 0.225 0.191 0.162 0.137 0.116 0.099 0.084 0.071 0.060 0.051 0.043 0.037 0.031 0.026 0.022 0.019 0.016 0.014 0.011 0.010 0.008 0.007 0.003 0.001 20% 0.833 0.694 0.579 0.482 0.402 0.335 0.279 0.233 0.194 0.162 0.135 0.112 0.093 0.078 0.065 0.054 0.045 0.038 0.031 0.026 0.022 0.018 0.015 0.013 0.010 0.009 0.007 0.006 0.005 0.004 0.002 0.001 22% 0.820 0.672 0.551 0.451 0.370 0.303 0.249 0.204 0.167 0.137 0.112 0.092 0.075 0.062 0.051 0.042 0.034 0.028 0.023 0.019 0.015 0.013 0.010 0.008 0.007 0.006 0.005 0.004 0.003 0.003 0.001 0.000 24% 0.806 0.650 0.524 0.423 0.341 0.275 0.222 0.179 0.144 0.116 0.094 0.076 0.061 0.049 0.040 0.032 0.026 0.021 0.017 0.014 0.011 0.009 0.007 0.006 0.005 0.004 0.003 0.002 0.002 0.002 0.001 0.000 26% 0.794 0.630 0.500 0.397 0.315 0.250 0.198 0.157 0.125 0.099 0.079 0.062 0.050 0.039 0.031 0.025 0.020 0.016 0.012 0.010 0.008 0.006 0.005 0.004 0.003 0.002 0.002 0.002 0.001 0.001 0.000 0.000 28% 0.781 0.610 0.477 0.373 0.291 0.227 0.178 0.139 0.108 0.085 0.066 0.052 0.040 0.032 0.025 0.019 0.015 0.012 0.009 0.007 0.006 0.004 0.003 0.003 0.002 0.002 0.001 0.001 0.001 0.001 0.000 0.000 30% 0.769 0.592 0.455 0.350 0.269 0.207 0.159 0.123 0.094 0.073 0.056 0.043 0.033 0.025 0.020 0.015 0.012 0.009 0.007 0.005 0.004 0.003 0.002 0.002 0.001 0.001 0.001 0.001 0.000 0.000 0.000 0.000 32% 0.758 0.574 0.435 0.329 0.250 0.189 0.143 0.108 0.082 0.062 0.047 0.036 0.027 0.021 0.016 0.012 0.009 0.007 0.005 0.004 0.003 0.002 0.002 0.001 0.001 0.001 0.001 0.000 0.000 0.000 0.000 0.000 40% Periods 0.714 Period 1 0.510 Period 2 0.364 Period 3 0.260 Period 4 0.186 Period 5 0.133 Period 6 0.095 Period 7 0.068 Period 8 0.048 Period 9 0.035 Period 10 0.025 Period 11 0.018 Period 12 0.013 Period 13 0.009 Period 14 0.006 Period 15 0.005 Period 16 0.003 Period 17 0.002 Period 18 0.002 Period 19 0.001 Period 20 0.001 Period 21 0.001 Period 22 0.000 Period 23 0.000 Period 24 0.000 Period 25 0.000 Period 26 0.000 Period 27 0.000 Period 28 0.000 Period 29 0.000 Period 30 0.000 Period 35 0.000 Period 40 Present Value of Annuity of $1.00 in Arrears* Periods 2% 4% 6% 8% 10% Period 1 0.980 0.962 0.943 0.926 0.909 Period 2 1.942 1.886 1.833 1.783 1.736 Period 3 2.884 2.775 2.673 2.577 2.487 Period 4 3.808 3.630 3.465 3.312 3.170 Period 5 4.713 4.452 4.212 3.993 3.791 Period 6 5.601 5.242 4.917 4.623 4.355 Period 7 6.472 6.002 5.582 5.206 4.868 Period 8 7.325 6.733 6.210 5.747 5.335 Period 9 8.162 7.435 6.802 6.247 5.759 Period 10 8.983 8.111 7.360 6.710 6.145 Period 11 9.787 8.760 7.887 7.139 6.495 Period 12 10.575 9.385 8.384 7.536 6.814 Period 13 11.348 9.986 8.853 7.904 7.103 Period 14 12.106 10.563 9.295 8.244 7.367 Period 15 12.849 11.118 9.712 8.559 7.606 Period 16 13.578 11.652 10.106 8.851 7.824 Period 17 14.292 12.166 10.477 9.122 8.022 Period 18 14.992 12.659 10.828 9.372 8.201 Period 19 15.678 13.134 11.158 9.604 8.365 Period 20 16.351 13.590 11.470 9.818 8.514 Period 21 17.011 14.029 11.764 10.017 8.649 Period 22 17.658 14.451 12.042 10.201 8.772 Period 23 18.292 14.857 12.303 10.371 8.883 Period 24 18.914 15.247 12.550 10.529 8.985 Period 25 19.523 15.622 12.783 10.675 9.077 Period 26 20.121 15.983 13.003 10.810 9.161 Period 27 20.707 16.330 13.211 10.935 9.237 Period 28 21.281 16.663 13.406 11.051 9.307 Period 29 21.844 16.984 13.591 11.158 9.370 Period 30 22.396 17.292 13.765 11.258 9.427 Period 35 24.999 18.665 14.498 11.655 9.644 Period 40 27.355 19.793 15.046 11.925 9.779 * Payments for receints) at the end of each period 12% 0.893 1.690 2.402 3.037 3.605 4.111 4.564 4.968 5.328 5.650 5.938 6.194 6.424 6.628 6.811 6.974 7.120 7.250 7.366 7.469 7.562 7.645 7.718 7.784 7.843 7.896 7.943 7.984 8.022 8.055 8.176 8.244 14% 0.877 1.647 2.322 2.914 3.433 3.889 4.288 4.639 4.946 5.216 5.453 5.660 5.842 6.002 6.142 6.265 6.373 6.467 6.550 6.623 6.687 6.743 6.792 6.835 6.873 6.906 6.935 6.961 6.983 7.003 7.070 7.105 16% 0.862 1.605 2.246 2.798 3.274 3.685 4.039 4.344 4.607 4.833 5.029 5.197 5.342 5.468 5.575 5.668 5.749 5.818 5.877 5.929 5.973 6.011 6.044 6.073 6.097 6.118 6.136 6.152 6.166 6.177 6.215 6.233 18% 0.847 1.566 2.174 2.690 3.127 3.498 3.812 4.078 4.303 4.494 4.656 4.793 4.910 5.008 5.092 5.162 5.222 5.273 5.316 5.353 5.384 5.410 5.432 5.451 5.467 5.480 5.492 5.502 5.510 5.517 5.539 5.548 20% 0.833 1.528 2.106 2.589 2.991 3.326 3.605 3.837 4.031 4.192 4.327 4.439 4.533 4.611 4.675 4.730 4.775 4.812 4.843 4.870 4.891 4.909 4.925 4.937 4.948 4.956 4.964 4.970 4.975 4.979 4.992 4.997 22% 0.820 1.492 2.042 2.494 2.864 3.167 3.416 3.619 3.786 3.923 4.035 4.127 4.203 4.265 4.315 4.357 4.391 4.419 4.442 4.460 4.476 4.488 4.499 4.507 4.514 4.520 4.524 4.528 4.531 4.534 4.541 4.544 24% 0.806 1.457 1.981 2.404 2.745 3.020 3.242 3.421 3.566 3.682 3.776 3.851 3.912 3.962 4.001 4.033 4.059 4.080 4.097 4.110 4.121 4.130 4.137 4.143 4.147 4.151 4.154 4.157 4.159 4.160 4.164 4.166 26% 0.794 1.424 1.923 2.320 2.635 2.885 3.083 3.241 3.366 3.465 3.543 3.606 3.656 3.695 3.726 3.751 3.771 3.786 3.799 3.808 3.816 3.822 3.827 3.831 3.834 3.837 3.839 3.840 3.841 3.842 3.845 3.846 28% 0.781 1.392 1.868 2.241 2.532 2.759 2.937 3.076 3.184 3.269 3.335 3.387 3.427 3.459 3.483 3.503 3.518 3.529 3.539 3.546 3.551 3.556 3.559 3.562 3.564 3.566 3.567 3.568 3.569 3.569 3.571 3.571 30% 0.769 1.361 1.816 2.166 2.436 2.643 2.802 2.925 3.019 3.092 3.147 3.190 3.223 3.249 3.268 3.283 3.295 3.304 3.311 3.316 3.320 3.323 3.325 3.327 3.329 3.330 3.331 3.331 3.332 3.332 3.333 3.333 32% 0.758 1.331 1.766 2.096 2.345 2.534 2.677 2.786 2.868 2.930 2.978 3.013 3.040 3.061 3.076 3.088 3.097 3.104 3.109 3.113 3.116 3.118 3.120 3.121 3.122 3.123 3.123 3.124 3.124 3.124 3.125 3.125 40% Periods 0.714 Period 1 1.224 Period 2 1.589 Period 3 1.849 Period 4 2.035 Period 5 2.168 Period 6 2.263 Period 7 2.331 Period 8 2.379 Period 9 2.414 Period 10 2.438 Period 11 2.456 Period 12 2.469 Period 13 2.478 Period 14 2.484 Period 15 2.489 Period 16 2.492 Period 17 2.494 Period 18 2.496 Period 19 2.497 Period 20 2.498 Period 21 2.498 Period 22 2.499 Period 23 2.499 Period 24 2.499 Period 25 2.500 Period 26 2.500 Period 27 2.500 Period 28 2.500 Period 29 2.500 Period 30 2.500 Period 35 2.500 Period 40 20% 40% 1.588 2.684 Compound Amount of $1.00 (The Future Value of $1.00) Periods 2% 4% 6% 8% 10% 12% 14% 16% 18% 22% 24% 26% 28% 30% 32% Periods Period 1 1.020 1.040 1.060 1.080 1.100 1.120 1.140 1.160 1.180 1.200 1.220 1.240 1.260 1.280 1.300 1.320 1.400 Period 1 Period 2 1.040 1.082 1.124 1.166 1.210 1.254 1.300 1.346 1.392 1.440 1.488 1.538 1.638 1.690 1.742 1.960 Period 2 Period 3 1.061 1.125 1.191 1.260 1.331 1.405 1.482 1.561 1.643 1.728 1.816 1.907 2.000 2.097 2.197 2.300 2.744 Period 3 Period 4 1.082 1.170 1.262 1.360 1.464 1.574 1.689 1.811 1.939 2.074 2.215 2.364 2.520 2.856 3.036 3.842 Period 4 Period 5 1.104 1.217 1.338 1.469 1.611 1.762 1.925 2.100 2.288 2.488 2.703 2.932 3.176 3.436 3.713 4.007 5.378 Period 5 Period 6 1.126 1.265 1.419 1.587 1.772 1.974 2.195 2.436 2.700 2.986 3.297 3.635 4.002 4.398 4.827 5.290 7.530 Period 6 Period 7 1.149 1.316 1.504 1.714 1.949 2.211 2.502 2.826 3.185 3.583 4.023 4.508 5.042 5.629 6.275 6.983 10.541 Period 7 Period 8 1.172 1.369 1.594 1.851 2.144 2.476 2.853 3.278 3.759 4.300 4.908 5.590 6.353 7.206 8.157 9.217 14.758 Period 8 Period 9 1.195 1.423 1.689 1.999 2.358 2.773 3.252 3.803 4.435 5.160 5.987 6.931 8.005 9.223 10.604 12.166 20.661 Period 9 Period 10 1.219 1.480 1.791 2.159 2.594 3.106 3.707 4.411 5.234 6.192 7.305 8.594 10.086 11.806 13.786 16.060 28.925 Period 10 Period 11 1.243 1.539 1.898 2.332 2.853 3.479 4.226 5.117 6.176 7.430 8.912 10.657 12.708 15.112 17.922 21.199 40.496 Period 11 Period 12 1.268 1.601 2.012 2.518 3.138 3.896 4.818 5.936 7.288 8.916 10.872 13.215 16.012 19.343 23.298 27.983 56.694 Period 12 Period 13 1.294 1.665 2.133 2.720 3.452 4.363 5.492 6.886 8.599 10.699 13.264 16.386 20.175 24.759 30.288 36.937 79.371 Period 13 Period 14 1.319 1.732 2.261 2.937 3.797 4.887 6.261 7.988 10.147 12.839 16.182 20.319 25.421 31.691 39.374 48.757 111.120 Period 14 Period 15 1.346 1.801 2.397 3.172 4.177 5.474 7.138 9.266 11.974 15.407 19.742 25.196 32.030 40.565 51.186 64.359 155.568 Period 15 Period 16 1.373 1.873 2.540 3.426 4.595 6.130 8.137 10.748 14.129 18.488 24.086 31.243 40.358 51.923 66.542 84.954 217.795 Period 16 Period 17 1.400 1.948 2.693 3.700 5.054 6.866 9.276 12.468 16.672 22.186 29.384 38.741 50.851 66.461 86.504 112.139 304.913 Period 17 Period 18 1.428 2.026 2.854 3.996 5.560 7.690 10.575 14.463 19.673 26.623 35.849 48.039 64.072 85.071 112.455 148.024 426.879 Period 18 Period 19 1.457 2.107 3.026 4.316 6.116 8.613 12.056 16.777 23.214 31.948 43.736 59.568 80.731 108.890 146.192 195.391 597.630 Period 19 Period 20 1.486 2.191 3.207 4.661 6.727 9.646 13.743 19.461 27.393 38.338 53.358 73.864 101.721 139.380 190.050 257.916 836.683 Period 20 Period 21 1.516 2.279 3.400 5.034 7.400 10.804 15.668 22.574 32.324 46.005 65.096 91.592 128.169 178.406 247.065 340.449 1171.356 Period 21 Period 22 1.546 2.370 3.604 5.437 8.140 12.100 17.861 26.186 38.142 55.206 79.418 113.574 161.492 228.360 321.184 449.393 1639.898 Period 22 Period 23 1.577 2.465 3.820 5.871 8.954 13.552 20.362 30.376 45.008 66.247 96.889 140.831 203.480 292.300 417.539 593.199 2295.857 Period 23 Period 24 1.608 2.563 4.049 6.341 9.850 15.179 23.212 35.236 53.109 79.497 118.205 174.631 256.385 374.144 542.801 783.023 3214.200 Period 24 Period 25 1.641 2.666 4.292 6.848 10.835 17.000 26.462 40.874 62.669 95.396 144.210 216.542 323.045 478.905 705.641 1033.590 4499.880 Period 25 Period 26 1.673 2.772 4.549 7.396 11.918 19.040 30.167 47.414 73.949 114.475 175.936 268.512 407.037 612.998 917.333 1364.339 6299.831 Period 26 Period 27 1.707 2.883 4.822 7.988 13.110 21.325 34.390 55.000 87.260 137.371 214.642 332.955 512.867 784.638 1192.533 1800.927 8819.764 Period 27 Period 28 1.741 2.999 5.112 8.627 14.421 23.884 39.204 63.800 102.967 164.845 261.864 412.864 646.212 1004.336 1550.293 2377.224 12347.670 Period 28 Period 29 1.776 3.119 5.418 9.317 15.863 26.750 44.693 74.009 121.501 197.814 319.474 511.952 814.228 1285.550 2015.381 3137.935 17286.737 Period 29 Period 30 1.811 3.243 5.743 10.063 17.449 29.960 50.950 85.850 143.371 237.376 389.758 634.820 1025.927 1645.505 2619.996 4142.075 24201.432 Period 30 Period 35 2.000 3.946 7.686 14.785 28.102 52.800 98.100 180.314 327.997 590.668 1053.402 1861.054 3258.135 5653.911 9727.860 16599.217 130161.112 Period 35 Period 40 2.208 4.801 10.286 21.725 45.259 93.051 188.884 378.721 750.378 1469.772 2847.038 5455.913 10347.175 19426.689 36118.865 66520.767 700037.697 Period 40 Compound Amount of Annuity of $1.00 in Arrears* (Future Value of Annuity) Periods 2% 4% 6% 8% 10% 12% 14% 16% 18% 20% 22% 24% 26% 28% 30% 32% 40% Periods Period 1 1.000 1.000 1.000 1.000 1.000 1.000 1.000 1.000 1.000 1.000 1.000 1.000 1.000 1.000 1.000 1.000 1.000 Period 1 Period 22.020 2.040 2.060 2.080 2.100 2.120 2.140 2.160 2.180 2.200 2.220 2.240 2.260 2.280 2.300 2.320 2.400 Period 2 Period 3 3.060 3.122 3.184 3.246 3.310 3.374 3.440 3.506 3.572 3.640 3.708 3.778 3.848 3.918 3.990 4.062 4.360 Period 3 Period 4 4.122 4.246 4.375 4.506 4.641 4.779 4.921 5.066 5.215 5.368 5.524 5.684 5.848 6.016 6.187 6.362 7.104 Period 4 Period 5 5.204 5.416 5.637 5.867 6.105 6.353 6.610 6.877 7.154 7.442 7.740 8.048 8.368 8.700 9.043 9.398 10.946 Period 5 Period 6 6.308 6.633 6.975 7.336 7.716 8.115 8.536 8.977 9.442 9.930 10.442 10.980 11.544 12.136 12.756 13.406 16.324 Period 6 Period 7 7.434 7.898 8.394 8.923 9.487 10.089 10.730 11.414 12.142 12.916 13.740 14.615 15.546 16.534 17.583 18.696 23.853 Period 7 Period 8 8.583 9.214 9.897 10.637 11.436 12.300 13.233 14.240 15.327 16.499 17.762 19.123 20.588 22.163 23.858 25.678 34.395 Period 8 Period 9 9.755 10.583 11.491 12.488 13.579 14.776 16.085 17.519 19.086 20.799 22.670 24.712 26.940 29.369 32.015 34.895 49.153 Period 9 Period 10 10.950 12.006 13.181 14.487 15.937 17.549 19.337 21.321 23.521 25.959 28.657 31.643 34.945 38.593 42.619 47.062 69.814 Period 10 Period 11 12.169 13.486 14.972 16.645 18.531 20.655 23.045 25.733 28.755 32.150 35.962 40.238 45.031 50.398 56.405 63.122 98.739 Period 11 Period 12 13.412 15.026 16.870 18.977 21.384 24.133 27.271 30.850 34.931 39.581 44.874 50.895 57.739 65.510 74.327 84.320 139.235 Period 12 Period 13 14.680 16.627 18.882 21.495 24.523 28.029 32.089 36.786 42.219 48.497 55.746 64.110 73.751 84.853 97.625 112.303 195.929 Period 13 Period 14 15.974 18.292 21.015 24.215 27.975 32.393 37.581 43.672 50.818 59.196 69.010 80.496 93.926 109.612 127.913 149.240 275.300 Period 14 Period 15 17.293 20.024 23.276 27.152 31.772 37.280 43.842 51.660 60.965 72.035 85.192 100.815 119.347 141.303 167.286 197.997 386.420 Period 15 Period 16 18.639 21.825 25.673 30.324 35.950 42.753 50.980 60.925 72.939 87.442 104.935 126.011 151.377 181.868 218.472 262.356 541.988 Period 16 Period 17 20.012 23.698 28.213 33.750 40.545 48.884 59.118 71.673 87.068 105.931 129.020 157.253 191.735 233.791 285.014 347.309 759.784 Period 17 Period 18 21.412 25.645 30.906 37.450 45.599 55.750 68.394 84.141 103.740 128.117 158.405 195.994 242.585 300.252 371.518 459.449 1064.697 Period 18 Period 19 22.841 27.671 33.760 41.446 51.159 63.440 78.969 98.603 123.414 154.740 194.254 244.033 306.658 385.323 483.973 607.472 1491.576 Period 19 Period 20 24.297 29.778 36.786 45.762 57.275 72.052 91.025 115.380 146.628 186.688 237.989 303.601 387.389 494.213 630.165 802.863 2089.206 Period 20 Period 21 25.783 31.969 39.993 50.423 64.002 81.699 104.768 134.841 174.021 225.026 291.347 377.465 489.110 633.593 820.215 1060.779 2925.889 Period 21 Period 22 27.299 34.248 43.392 55.457 71.403 92.503 120.436 157.415 206.345 271.031 356.443 469.056 617.278 811.999 1067.280 1401.229 4097.245 Period 22 Period 23 28.845 36.618 46.996 60.893 79.543 104.603 138.297 183.601 244.487 326.237 435.861 582.630 778.771 1040.358 1388.464 1850.622 5737.142 Period 23 Period 24 30.422 39.083 50.816 66.765 88.497 118.155 158.659 213.978 289.494 392.484 532.750 723.461 982.251 1332.659 1806.003 2443.821 8032.999 Period 24 Period 25 32.030 41.646 54.865 73.106 98.347 133.334 181.871 249.214 342.603 471.981 650.955 898.092 1238.636 1706.803 2348.803 3226.844 11247.199 Period 25 Period 26 33.671 44.312 59.156 79.954 109.182 150.334 208.333 290.088 405.272 567.377 795.165 1114.634 1561.682 2185.708 3054.444 4260.434 15747.079 Period 26 Period 27 35.344 47.084 63.706 87.351 121.100 169.374 238.499 337.502 479.221 681.853 971.102 1383.146 1968.719 2798.706 3971.778 5624.772 22046.910 Period 27 Period 28 37.051 49.968 68.528 95.339 134.210 190.699 272.889 392.503 566.481 819.223 1185.744 1716.101 2481.586 3583.344 5164.311 7425.699 30866.674 Period 28 Period 29 38.792 52.966 73.640 103.966 148.631 214.583 312.094 456.303 669.447 984.068 1447.608 2128.965 3127.798 4587.680 6714.604 9802.923 43214.343 Period 29 Period 30 40.568 56.085 79.058 113.283 164.494 241.333 356.787 530.312 790.948 1181.882 1767.081 2640.916 3942.026 5873.231 8729.985 12940.859 60501.081 Period 30 Period 35 49.994 73.652 111.435 172.317271.024 431.663 693.573 1120.7131816.652 2948.341 4783.645 7750.225 12527.442 20188.966 32422.868 51869.427 325400.279 Period 35 Period 40 60.402 95.026 154.762259.057 442.593 767.091 1342.0252360.7574163.213 7343.858 12936.535 22728.803 39792.982 69377.460 120392.883 207874.272 1750091.741 Period 40 * Payments for receints at the end of each neriod Requirement 1. Because the company's cash is limited, Lulus thinks the payback method should be used to choose between the capital budgeting projects. a. What are the benefits and limitations of using the payback method to choose between projects? Benefits of the payback method: O A. Utilizes the time value of money and computes each project's unique rate of return B. Easy to understand and captures uncertainty about expected cash flows in later years of a project C. Indicates whether or not the project will earn the company's minimum required rate of return O D. All of the above Limitations of the payback method: A. Cannot be used for projects with unequal periodic cash flows B. Fails to incorporate the time value of money and does not consider a project's cash flows after the payback period C. Cannot be used when management's required rate of return varies from one period to the next. D. All of the above b. Calculate the payback period for each of the three projects. Ignore income taxes. (Round your answers to two decimal places.) Project A 3 years Project B 2.25 years Project C 2 years Using the payback method, which project(s) should Lulus choose? Projects B and C Requirement 2. Calculate the NPV for each project. Ignore income taxes. (Round your answers to the nearest whole dollar. Use parentheses or a minus sign for negative net present values.) The NPV of Project A is $ 38,000 The NPV of Project B is $ 144,100 The NPV of Project C is $(414,000) Requirement 3. Which projects, if any, would you recommend funding? Briefly explain why. The NPV method is generally regarded as the preferred method for project selection decisions, therefore, the company should consider investing in the project(s) with a positive NPV. Since the company's is limited by the total dollar value of capital investments it can make during the year, if more than one project fits this criteria, they should choose the investment(s) with the greatest payback period. Prior to making a final decision, the company should also consider the nonfinancial qualitative factors of the investments such as the fluctuations in the required rate of return
Step by Step Solution
There are 3 Steps involved in it
Get step-by-step solutions from verified subject matter experts
