Question: A cantilever beam with rectangular cross section as shown in Fig. 1 is subjected to an end loading F at the free end. From solid
A cantilever beam with rectangular cross section as shown in Fig. 1 is subjected to an end loading F at the free end. From solid mechanics the stress state at all points in the beam is described by



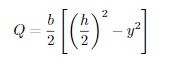
Orx (x, y, z) = -My I -VQ Oxy(x, y, z) = Ib Oyy = Ozz - Orz = Oyz = 0
Step by Step Solution
There are 3 Steps involved in it
Get step-by-step solutions from verified subject matter experts
