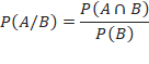
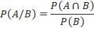
Question: A conditional probability is the probability of one event, given that another

 A conditional probability is the probability of one event, given that

A conditional probability is the probability of one event, given that another

another

Step by Step Solution

There are 3 Steps involved in it

1 Expert Approved Answer
Step: 1 Unlock blur-text-image
Question Has Been Solved by an Expert!

Get step-by-step solutions from verified subject matter experts

Step: 2 Unlock
Step: 3 Unlock

Students Have Also Explored These Related Mathematics Questions!