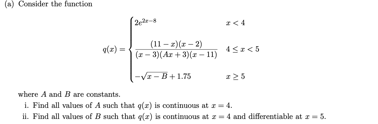
Question: (a) Consider the function 2e2x-8 x 5 where A and B are constants. i. Find all values of A such that q(x) is continuous at


(a) Consider the function 2e2x-8 x 5 where A and B are constants. i. Find all values of A such that q(x) is continuous at a = 4. ii. Find all values of B such that q(x) is continuous at x = 4 and differentiable at x = 5
Step by Step Solution
There are 3 Steps involved in it
Get step-by-step solutions from verified subject matter experts
