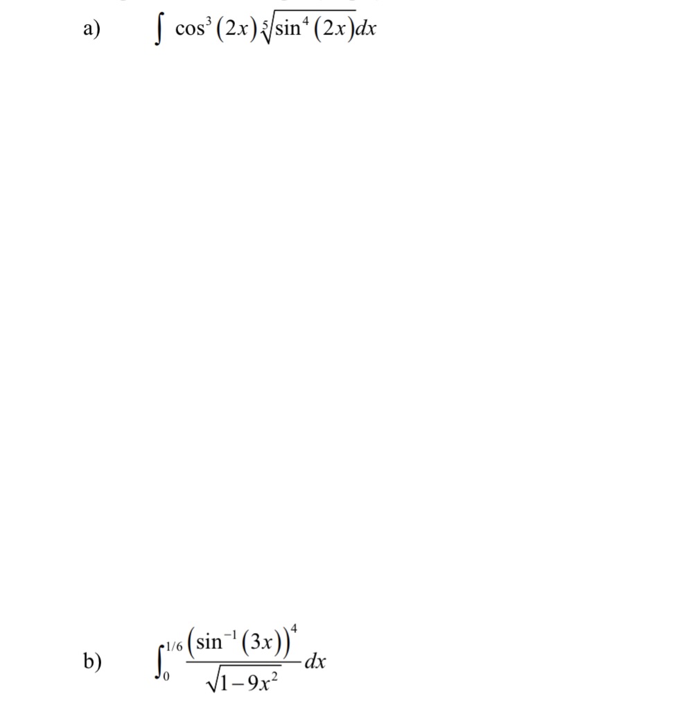
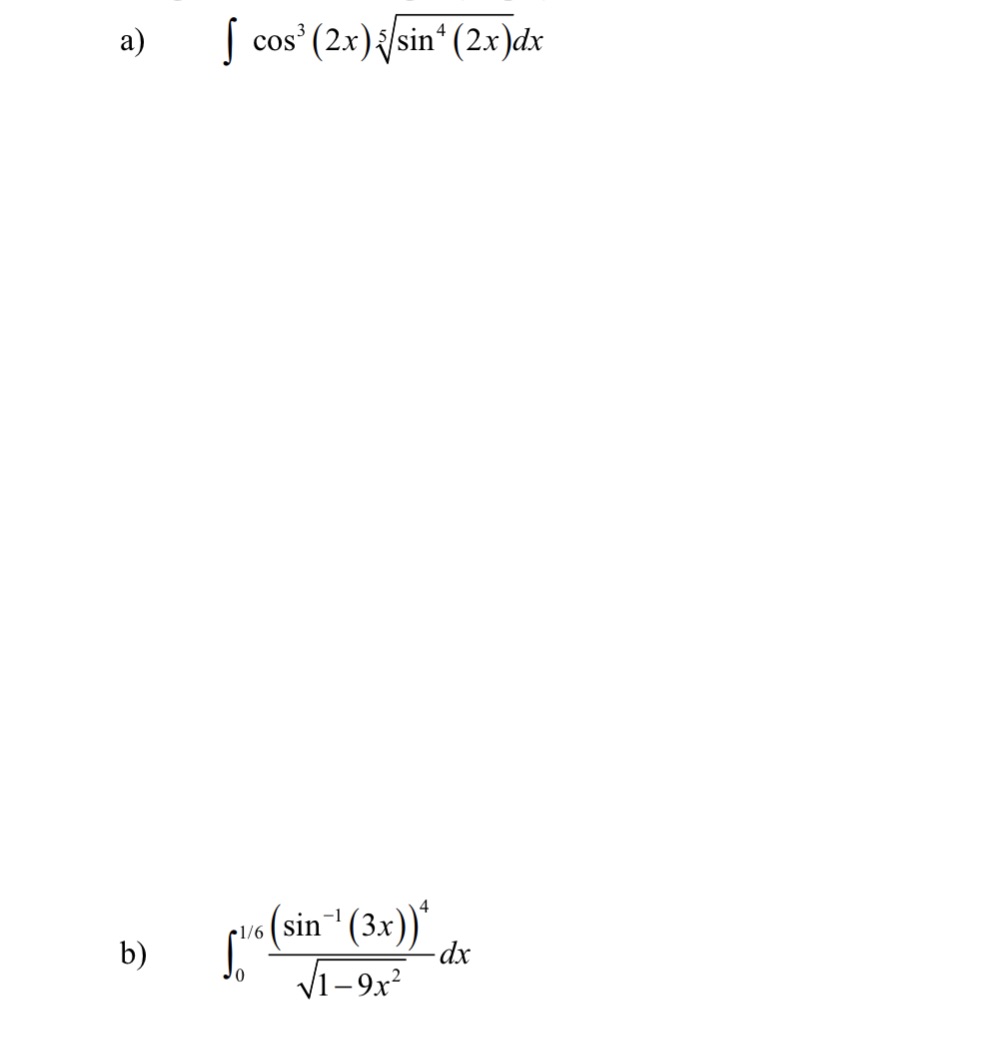
Question: a) [ cos (2x) a) b) cos3 (2x) 5 sin 4 (2x)dx 1/6 sm 1 9X2


a) [ cos (2x)
a) b) cos3 (2x) 5 sin 4 (2x)dx 1/6 sm 1 9X2
Step by Step Solution
There are 3 Steps involved in it
Get step-by-step solutions from verified subject matter experts
