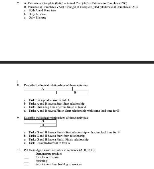
Question: A. Estimate at Complete (EAC) = Actual Cost (AC) + Estimate to Complete (ETC) B. Variance at Complete (VAC) = Budget at Complete (BAC)/Estimate at
A. Estimate at Complete (EAC) = Actual Cost (AC) + Estimate to Complete (ETC) B. Variance at Complete (VAC) = Budget at Complete (BAC)/Estimate at Complete (EAC)

Step by Step Solution
There are 3 Steps involved in it
Get step-by-step solutions from verified subject matter experts
