Question: a. Find ay if v = (In(x+ B) - Cx) (V9 D + 4x dx a. (In(x + B) Find if Y- dx


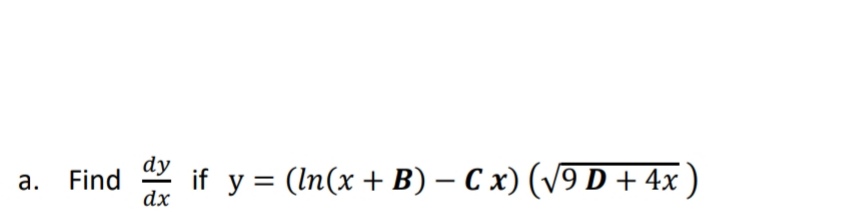
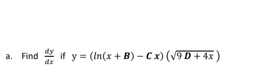
a. Find ay if v = (In(x+ B) - Cx) (V9 D + 4x dx
a. (In(x + B) Find if Y- dx
Step by Step Solution
There are 3 Steps involved in it
Get step-by-step solutions from verified subject matter experts
