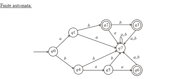
Question: (a) For = {a, b}, Build a Transition Graph for language Odd-Odd All words with Odd as and Odd bs. here is the FA: (b
(a) For = {a, b}, Build a Transition Graph for language Odd-Odd All words with Odd as and Odd bs.
here is the FA:

(b )Build a Transition Graph that accepts only the words baa, ab, and abb and no other strings longer or shorter.
here is the FA:

A i (a) a. Q, 2. S FA AcCEPTENG a. ODD ODD LANGUAGE gni hal store 'Y Final -state
Step by Step Solution
There are 3 Steps involved in it
Get step-by-step solutions from verified subject matter experts
