Question: A homework Question I missed points on. I am trying to figure out how to do it correctly. The question and my work below. (.
A homework Question I missed points on. I am trying to figure out how to do it correctly. The question and my work below.





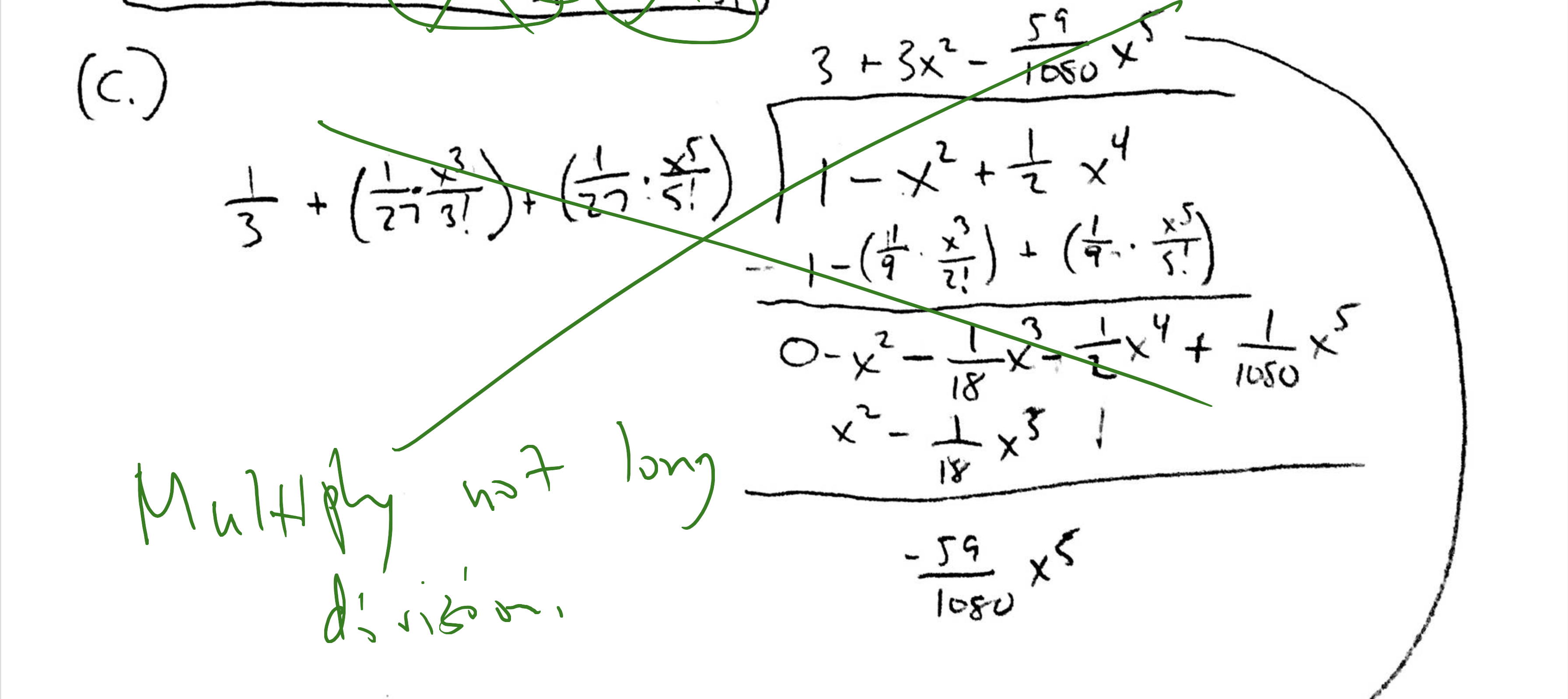
(. )a)find the first s non-zero terms of the Maclausing series using a series you already know F, (x)=ve (-x? ) ( b. ) Find first I non tero terms of the Maclaurin series using a series you already know filx ) = s ( c.) Combine your series to find the series for 9 - x 2\f\f\f\f
Step by Step Solution
There are 3 Steps involved in it
1 Expert Approved Answer
Step: 1 Unlock
Question Has Been Solved by an Expert!
Get step-by-step solutions from verified subject matter experts
Step: 2 Unlock
Step: 3 Unlock
