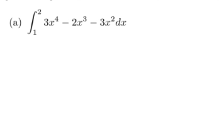
Question: ( a ) int _ 1 ^ 2 3 x ^ ( 4 ) - 2 x ^ ( 3 ) - 3 x
aintxxxdx
Step by Step Solution
There are 3 Steps involved in it
1 Expert Approved Answer
Step: 1 Unlock
Question Has Been Solved by an Expert!
Get step-by-step solutions from verified subject matter experts
Step: 2 Unlock
Step: 3 Unlock
