Question: A JAVA implementation of building a min heap and traversing it using all four traversing strategies: in-order, pre-order, post-order, level-order . Given the input 10,
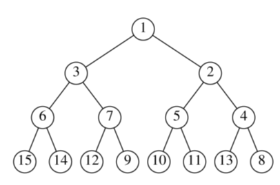
A JAVA implementation of building a min heap and traversing it using all four traversing strategies: in-order, pre-order, post-order, level-order. Given the input 10, 12, 1, 14, 6, 5, 8, 15, 3, 9, 7, 4, 11, 13, 2 . Print the result on console. The result of the min heap is as shown in the figure below:

3 2 7 5 4 (15) (14) (12 9 10) (11) (13) 8
Step by Step Solution
There are 3 Steps involved in it
Get step-by-step solutions from verified subject matter experts
