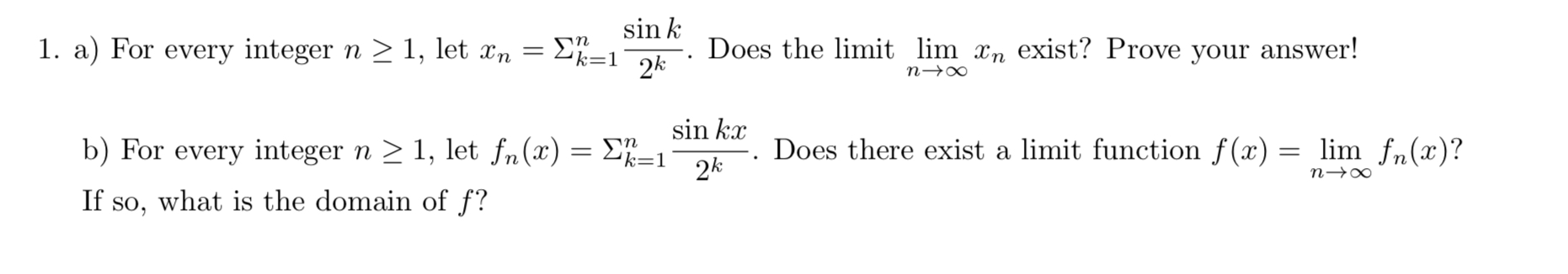
Question: a n 1 , let x n = k = 1 n s i n k 2 k . Does the l i m i
let Does the exist? Prove your answer!
let Does there exist a function
what the domain
Step by Step Solution
There are 3 Steps involved in it
1 Expert Approved Answer
Step: 1 Unlock
Question Has Been Solved by an Expert!
Get step-by-step solutions from verified subject matter experts
Step: 2 Unlock
Step: 3 Unlock
