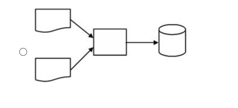
Question: A payment is prepared from the receiving report file and the purchase order file, both of which are stored on a hard drive. Which one


A payment is prepared from the receiving report file and the purchase order file, both of which are stored on a hard drive. Which one of the following diagrams represents this activity? Boo
Step by Step Solution
There are 3 Steps involved in it
1 Expert Approved Answer
Step: 1 Unlock
Question Has Been Solved by an Expert!
Get step-by-step solutions from verified subject matter experts
Step: 2 Unlock
Step: 3 Unlock
