Question: A production process requires 5 different types of machine and the current layout with operation times in minute isgiven. Shrinkage rates are 5%, 3%, 6%,
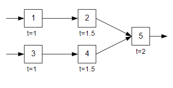
A production process requires 5 different types of machine and the current layout with operation times in minute isgiven. Shrinkage rates are 5%, 3%, 6%, 4%, and 1%for machines 1, 2, 3, 4, and 5. The output should be (12+10)*10 units.Personal allowance for all the operators is given 3%. Suppose that 4 hours are available for this production.
a.Calculate the required number of machines.
b.Calculate each machines idle time.

1 2 t=1 t=1.5 5 3 4 t=2 t=1 t=1.5 1 2 t=1 t=1.5 5 3 4 t=2 t=1 t=1.5
Step by Step Solution
There are 3 Steps involved in it
1 Expert Approved Answer
Step: 1 Unlock
Question Has Been Solved by an Expert!
Get step-by-step solutions from verified subject matter experts
Step: 2 Unlock
Step: 3 Unlock
