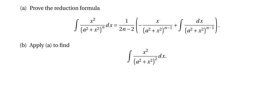
Question: ( a ) Prove the reduction formula x 2 ( a 2 + x 2 ) n d x = 1 2 n - 2
Prove the reduction formula
Apply find
Step by Step Solution
There are 3 Steps involved in it
1 Expert Approved Answer
Step: 1 Unlock
Question Has Been Solved by an Expert!
Get step-by-step solutions from verified subject matter experts
Step: 2 Unlock
Step: 3 Unlock
