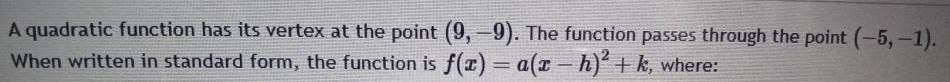
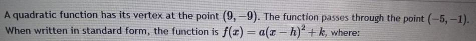
Question: A quadratic function has its vertex at the point 9 9 The function passes through the point 5 1 When written in standard form the


A quadratic function has its vertex at the point 9 9 The function passes through the point 5 1 When written in standard form the function is f x a zh k where
Step by Step Solution
There are 3 Steps involved in it
Get step-by-step solutions from verified subject matter experts
