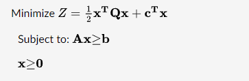
Question: A quadratic programming model is an optimization model with n decision variables and m linear constraints, and of the form: Minimize Z = TQx +
A quadratic programming model is an optimization model withndecision variables andmlinear constraints, and of the form:

Step by Step Solution
There are 3 Steps involved in it
Get step-by-step solutions from verified subject matter experts
