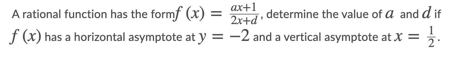
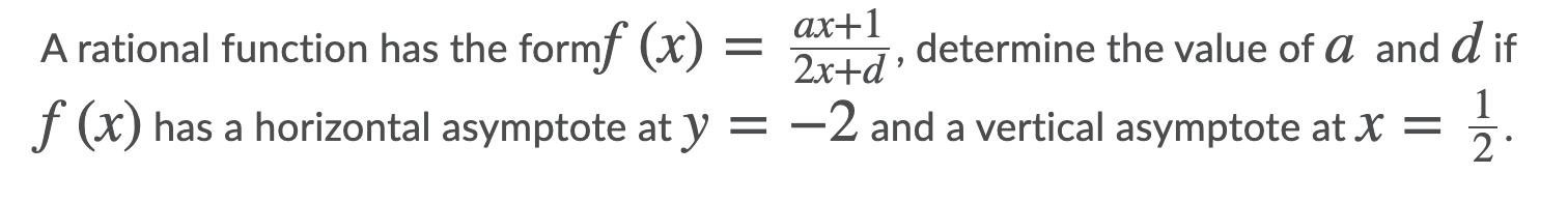
Question: A rational function has the formf (x) = ax+1 2x+7, determine the value of a and d if f (x) has a horizontal asymptote at


A rational function has the formf (x) = ax+1 2x+7, determine the value of a and d if f (x) has a horizontal asymptote at y = -2 and a vertical asymptote at X = 1
Step by Step Solution
There are 3 Steps involved in it
Get step-by-step solutions from verified subject matter experts
