Question: A rectangular beam is clamped/fixed at each end. The cross section is 1.5 inches wide by 2.4 inches tall. The beam is subjected to


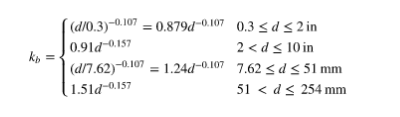
A rectangular beam is clamped/fixed at each end. The cross section is 1.5 inches wide by 2.4 inches tall. The beam is subjected to a bending moment that reamins in the same plane and varies between -2,000 in-lbf and +1,000 in-lbf. The bar is made of AISI 1050 Normalized steel. What is the size factor to three decimal places used in computing the corrected endurance limit? Given Answer: 0.84 Correct Answer: 0.840 0.001 (0.3) 0.87903552 0917 (7.62) 2 Aa95a=0.05hb d = 0.808hb kp (d/0.3)-0.107 0.879d-0.107 0.3 d2 in 0.91d-0.157 2
Step by Step Solution
There are 3 Steps involved in it
Get step-by-step solutions from verified subject matter experts
