Question: A system with two positive thin lenses are separated by a distance d. The focal lengths are f1 = 10.0 cm and f2 = 20.0

A system with two positive thin lenses are separated by a distance d. The focal lengths are f1 = 10.0 cm and f2 = 20.0 cm. The desired throw of the system, the object to image distance, is T = 80.0 cm, and the desired magnification is M = -1.10.
Using the conjugate matrix for a two lens system to solve to the distance between the lenses.
From above, where should the object be placed?
From above, where will the image be?


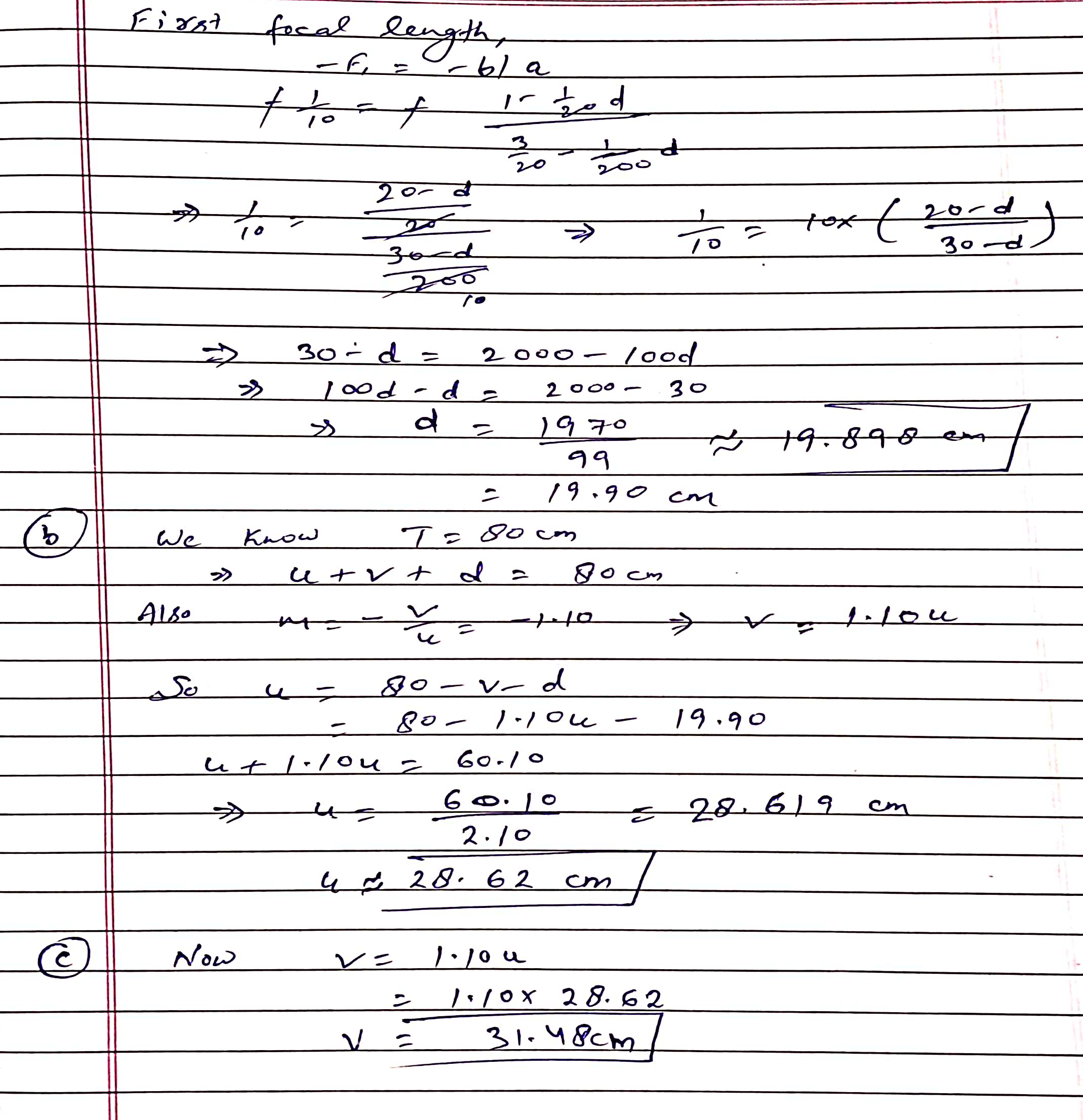
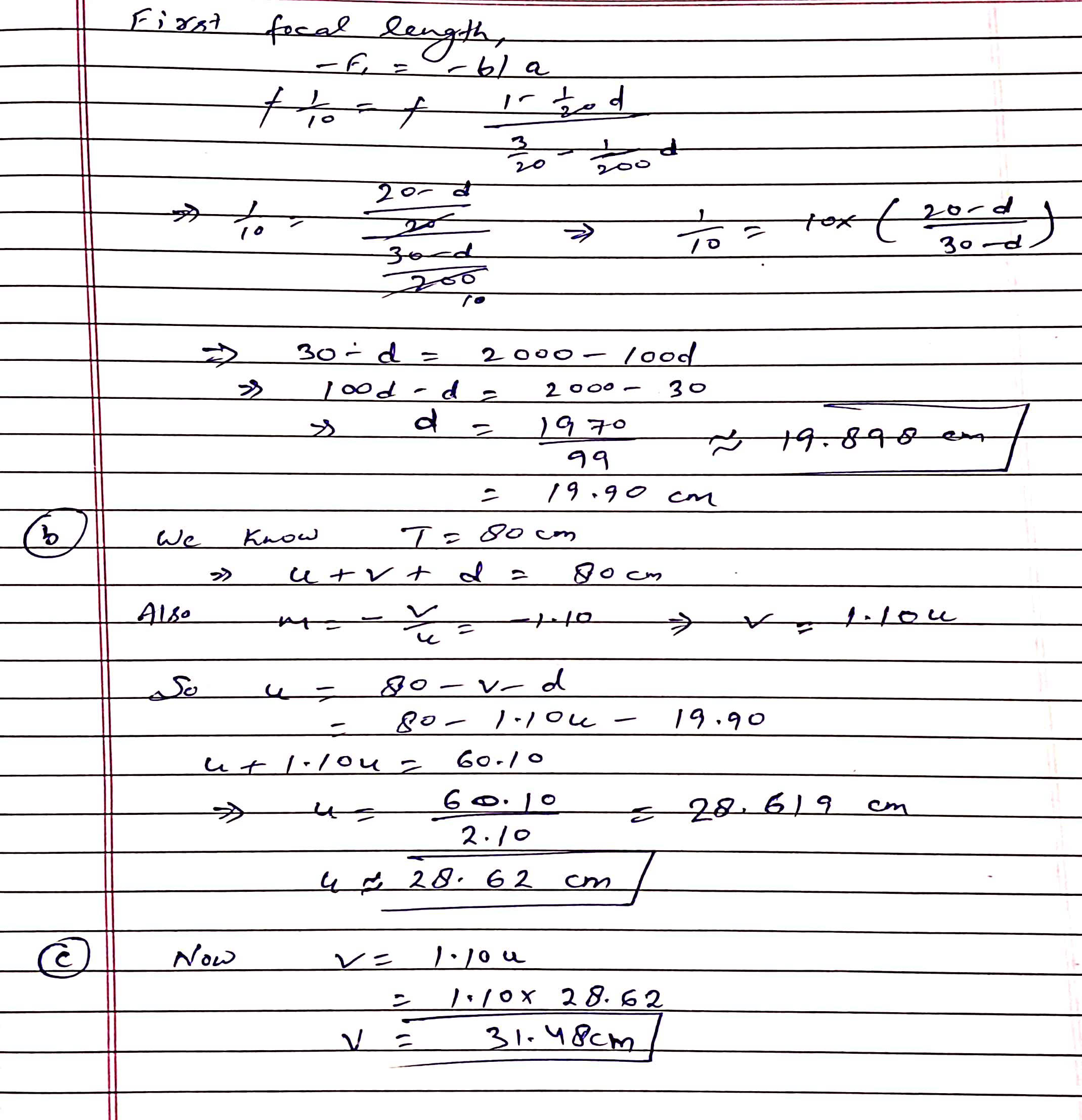
Given : F. = 10 cm F. = 20 cm M z - 1 . 10 X less distance of the object from Ist lens vy distance of the image from Jad less Ist Matrix of fixst lows I where Pro ! Matrix of distance d Matrix of 2" dews is ( 1 9) - where fir a stold to By tra of 3 20 200 20 200 + 2 0First focal length 3 20 20- d 10 7 fox ( 20 - d good 30 -d 200 230 : d = 2000 - 100 32 jood - d 2 2000 - 30 d = 19 70 99 19. 890 en/ 19.90 cm We know T = 80 cm 2> ut v t d = 80 cm Also So u - 8 0 - vod 80 - 1.10 4 - 19.90 uf / /ouz 60 . 10 60. 10 28 . 619 cm 2. 10 40 28 . 62 cm Now 2 1 : 10X 28. 62 V 31 . 48 cm
Step by Step Solution
There are 3 Steps involved in it
Get step-by-step solutions from verified subject matter experts
