Question: A task from artificial intelligence to create a game tree. Describe parameters characterizing states in the game given below Create a game tree for the
A task from artificial intelligence to create a game tree.


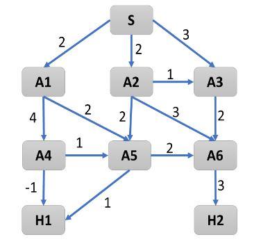
Describe parameters characterizing states in the game given below Create a game tree for the game described below. Each node of the game tree must contain not only values of parameters characterizing states, but also its label (A, B, C, etc.) chosen arbitrary by the student. Game description The game board represented below is used in this game. The players use the same coin (there is no separate coin for each player). At the beginning of the game, the coin is located on the field S and the common score is 0. (there is no separate score for each player) The players alternate moves by moving the coin to one field forward in the direction of arcs. After performing a move, the player adds points represented on the arc to the common score. The game ends when either the field H1 or H2 is reached. If the common score is equal to 8, then the game is a draw. If the common score is less than 8, then the player who started the game wins it. Otherwise, the second player wins the game. S 3 2 2 1 A1 A2, A3 2. 3 4 2 12. 1 2. A4 A5 A6 -1 13 1 H1 H2 Describe parameters characterizing states in the game given below Create a game tree for the game described below. Each node of the game tree must contain not only values of parameters characterizing states, but also its label (A, B, C, etc.) chosen arbitrary by the student. Game description The game board represented below is used in this game. The players use the same coin (there is no separate coin for each player). At the beginning of the game, the coin is located on the field S and the common score is 0. (there is no separate score for each player) The players alternate moves by moving the coin to one field forward in the direction of arcs. After performing a move, the player adds points represented on the arc to the common score. The game ends when either the field H1 or H2 is reached. If the common score is equal to 8, then the game is a draw. If the common score is less than 8, then the player who started the game wins it. Otherwise, the second player wins the game. S 3 2 2 1 A1 A2, A3 2. 3 4 2 12. 1 2. A4 A5 A6 -1 13 1 H1 H2
Step by Step Solution
There are 3 Steps involved in it
Get step-by-step solutions from verified subject matter experts
