Question: A T-Bill has 100 days until maturity. Its discount yield is Yd = 0.03862. Determine the bond equivalent yield Ybe Please show work not using
A T-Bill has 100 days until maturity. Its discount yield is Yd = 0.03862. Determine the bond equivalent yield Ybe
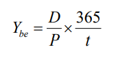
Please show work not using excel, I provided a formula that will help with calculation.
Ype = D 365 P t be
Step by Step Solution
There are 3 Steps involved in it
1 Expert Approved Answer
Step: 1 Unlock
Question Has Been Solved by an Expert!
Get step-by-step solutions from verified subject matter experts
Step: 2 Unlock
Step: 3 Unlock
