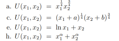
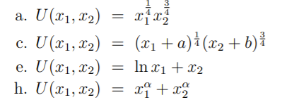
Question: a. U(r1, X2) = x HA c. U(x1, X2) = (x1+a) i(12+ b) e. U(x1, X2 = Inx1 +$2 h. U(x1, 12 =1. For each




a. U(r1, X2) = x HA c. U(x1, X2) = (x1+a) i(12+ b) e. U(x1, X2 = Inx1 +$2 h. U(x1, 12 =1. For each of the utility functions above, find the consumer's optimal consumption bundle when prices of goods 1 and 2 are p1 and p2, and the consumer has an income m. 2. For each of the utility functions above, find the consumer's optimal consumption bundle when prices of goods 1 and 2 are p, and p2, and the consumer has an endowment (e1, e2) of the two goods. 3. For each of your answers in question 2. above, write down the consumers net demands for the two goods at prices p, and p2. Find the ratio of prices 2 for which the net demand for good 1 is zero. Also find the price ratio at which the net demand for good 2 is zero. 4. Can you explain your answer to question 3. above intuitively
Step by Step Solution
There are 3 Steps involved in it
Get step-by-step solutions from verified subject matter experts
