Question: a. Using De Moivre's theorem determine the value of (1 + 2))3 Express your answer in rectangular and polar form. b. Consider the system of


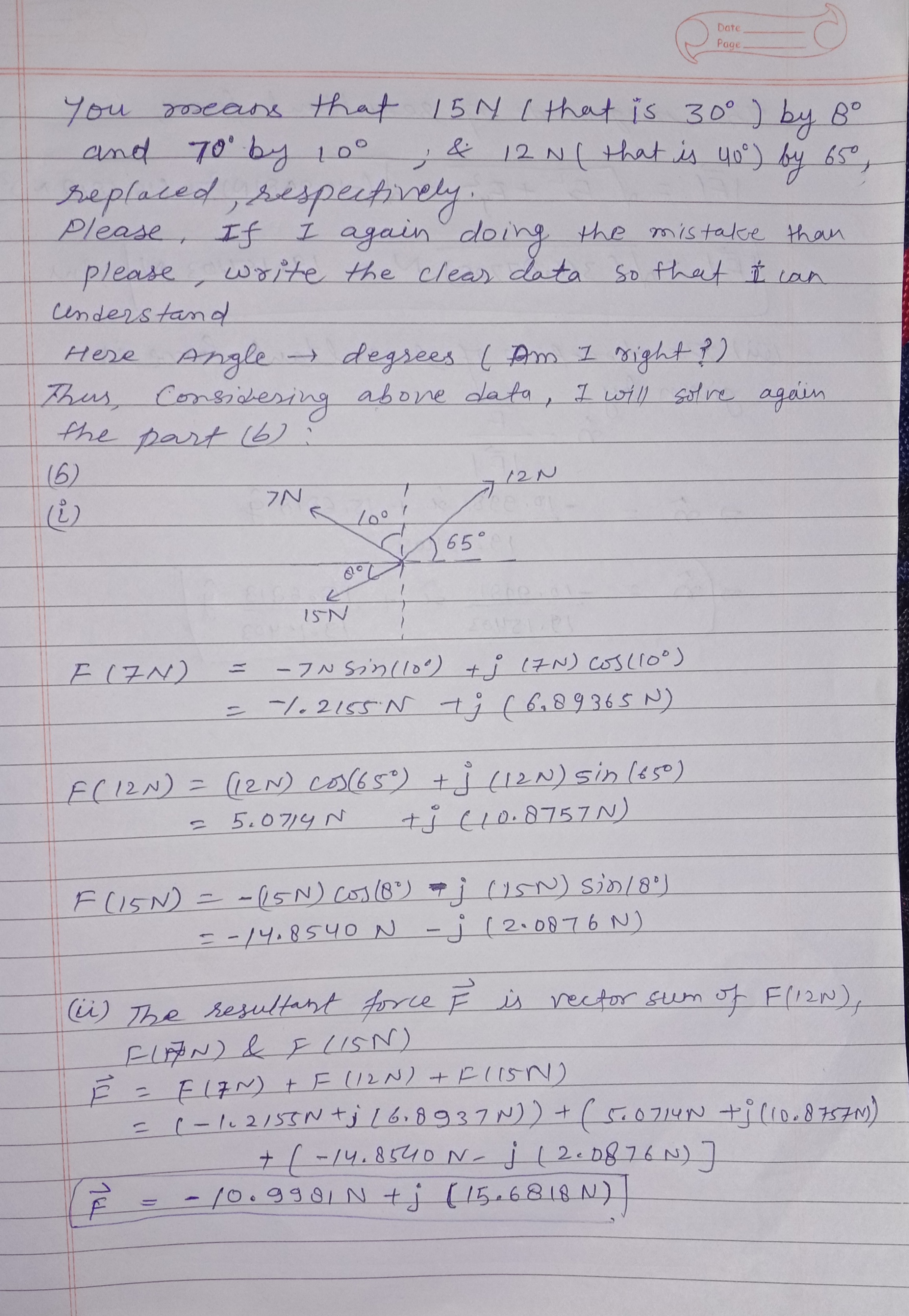
a. Using De Moivre's theorem determine the value of (1 + 2))3 Express your answer in rectangular and polar form. b. Consider the system of forces acting on point A below: 12 N 7N 70 40 30' ( A ask 4 15 N K i. Express each force as a complex number in rectangular form ii. Find the magnitude of the resultant force iii. Find the direction of the resultant force FOCUS\fDate Page you means that 15 1 ( that is 300 ) by Bo and 70 by 100 - & 12 NG that is yo") by 650 , replaced respectively . Please , If I again doing the mistake than please write the clear data so that i can understand Here Angle - degrees ( Am I right ? ) The Considering above data, I will solve again the pourt ( b) ( 6 ) 12 N ( i ) 7 / 100 1 650 ISN F ( Z N ) = - 7 N S in ( 10 0 ) + 1 ( IN ) cos ( 10 0) = = 1 . 2 1 5 5 . N + ; ( 6 , 8 9 3 6 5 N ) F ( 12 N ) = ( 1 2 N) cos ( 6 5 0 ) + j ( 1 2 N ) sin ( 650 ) 2 5 . 07 1 9 N + 5 ( 1 0 . 875 7 N) F ( ISN ) = - ( 1 5 N ) Cos ( B " ) # j ( I s N ) sin / 891 = - 1 4 . 8 5 4 0 N - j ( 2 . 08 7 6 N ) ( in ) The Resultant force F is rector sum of E( 12N ), FL AFN ) & F ( ISN ) F = F I FN ) + F ( 1 2 N ) + R IISN ) = ( - 1 ( 2 / 5 5 N + j / 6 . 8 9 3 7 N ) ) + ( 5 . 0 7 1 4 N + J ( 10 . 875 IN) + ( - 1 4 . 8 5 4 0 N - J ( 2 . D 8 7 6 N ) ] F = - 10 . 9 9 8 1 N + j ( 15 . 6 8 1 8 N )
Step by Step Solution
There are 3 Steps involved in it
Get step-by-step solutions from verified subject matter experts
