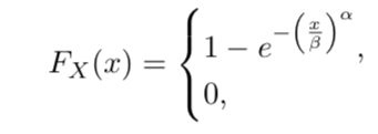
Question: A variable X that is Weibull-distributed with parameters , > 0 has probability density 1 - e ( Fx (a)fx(a) 0

A variable X that is Weibull-distributed with parameters , > 0 has probability density


1 - e ( Fx (a)fx(a) 0
Step by Step Solution
There are 3 Steps involved in it
Get step-by-step solutions from verified subject matter experts
