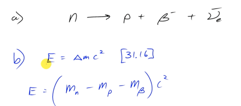
Question: (a) Write the complete decay equation for the neutron. (b) Find the energy released in the decay. P
(a) Write the complete decay equation for the neutron. (b) Find the energy released in the decay.

P
Step by Step Solution
There are 3 Steps involved in it
Get step-by-step solutions from verified subject matter experts
