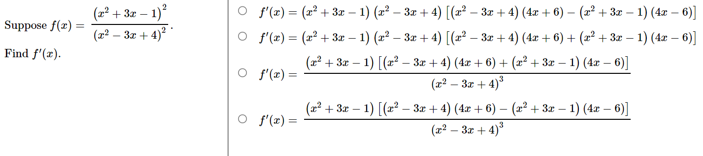
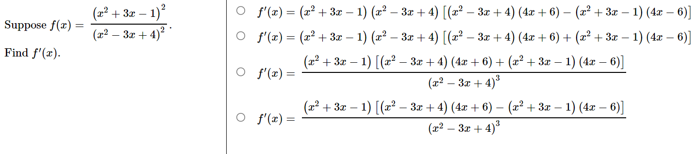
Question: (a2 + 3x - 1) O f'(a) = (x2 + 3x - 1) (a2 - 3ac + 4) [(a2 - 3x + 4) (4a +


(a2 + 3x - 1) O f'(a) = (x2 + 3x - 1) (a2 - 3ac + 4) [(a2 - 3x + 4) (4a + 6) - (x2 + 3x -1) (4x - 6)] Suppose f(x) = (a2 - 3x + 4) O f'(x) = (x2 + 32 - 1) (a2 - 3ac + 4) [(2:2 - 3x + 4) (4ac + 6) + (x2 + 3x -1) (4x - 6) ] Find f'(x). of' ( z ) = (22 + 3x - 1) [(22 - 3x + 4) (4x + 6) + (202 + 320 - 1) (4x - 6) ] (a2 - 3x + 4) 3 (x2 + 3x - 1) [(x2 - 3x + 4) (4x + 6) - (22 + 3x - 1) (4x -6) ] O f'(ac ) = (a2 - 3x + 4) 3
Step by Step Solution
There are 3 Steps involved in it
Get step-by-step solutions from verified subject matter experts
