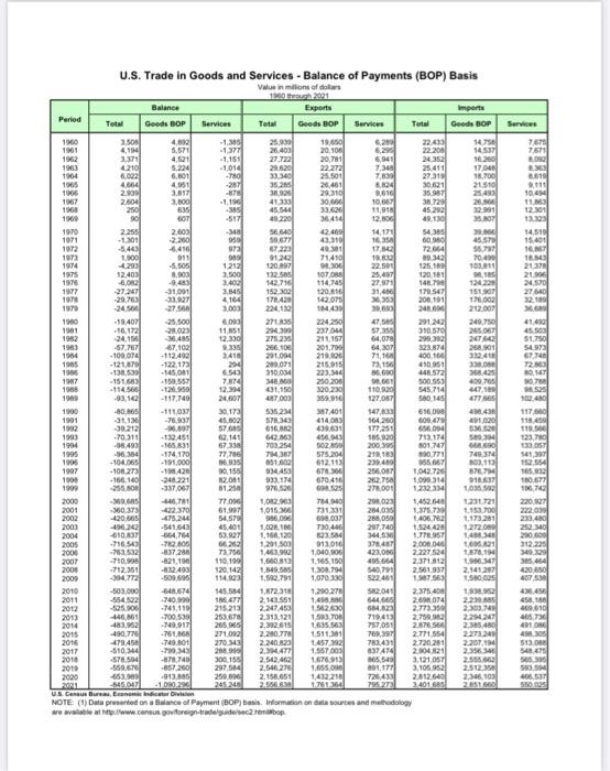
Question: According to the US Census link (US Trade Data through 2021) what was the US total trade deficit (Goods and Services) over the last five
According to the US Census link (US Trade Data through 2021) what was the US total trade deficit (Goods and Services) over the last five reported years.
2017:
2018:
2019:
2020:
2021:
According to the Article link US Trading partners 2021. What were the top three countries in terms of total trade with the US in 2021 and the dollar amount of total trade?
Rank #1 ____________ Total trade: $___________
Rank #2 ____________ Total trade: $___________
Rank #3 ____________ Total trade: $___________
According to the Article link US Trading partners 2021. What were the top three countries in terms trade deficit of goods with the US in 2021 and the dollar amount of the goods trade deficit?
Rank #1 ____________ Goods trade Deficit: $___________
Rank #2 ____________ Goods trade Deficit: $___________
Rank #3 ____________ Goods trade Deficit: $___________
U.S. Trade in Goods and Services - Balance of Payments (BOP) Basis Value in millons of dotars NOTE: (1) Data praserted on a fiwance of Payment (BOP) basi. Informmion on suls asurtes and mehodology
Step by Step Solution
There are 3 Steps involved in it
Get step-by-step solutions from verified subject matter experts
